Datasheet VLMRGB1500 (Vishay) - 4

制造商Vishay
描述Multi SMD Chip LED RGB in 0404 package
页数 / 页9 / 4 — VLMRGB1500. TYPICAL CHARACTERISTICS
文件格式/大小PDF / 443 Kb
文件语言英语

VLMRGB1500. TYPICAL CHARACTERISTICS

VLMRGB1500 TYPICAL CHARACTERISTICS

该数据表的模型线

文件文字版本

VLMRGB1500
www.vishay.com Vishay Semiconductors
TYPICAL CHARACTERISTICS
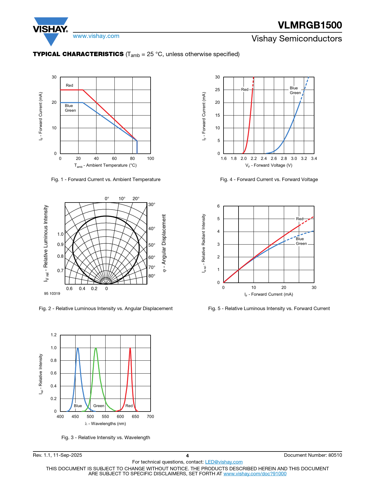
(Tamb = 25 °C, unless otherwise specified) Axis Title Axis Title 30 10000 30 10000 Red 25 Red Blue ) Green A A (m (m 20 1000 20 1000 Blue rrent rrent u Green ne ne ine ine u ne line C C 15 1st li 2nd li 2nd l 1st li ard 2nd l ard 2nd 10 100 10 100 - Forw - Forw I F I F 5 0 10 0 10 0 20 40 60 80 100 1.6 1.8 2.0 2.2 2.4 2.6 2.8 3.0 3.2 3.4 T - Ambient Temperature (°C) V - Forward Voltage (V) amb F 2nd line 2nd line Fig. 1 - Forward Current vs. Ambient Temperature Fig. 4 - Forward Current vs. Forward Voltage 0° 10° 20° Axis Title 30° 6 10000 ity s 5 Red ten 40° In t 4 1000 1.0 n ine dia Blue ne ne 0.9 50° 3 Ra Green 2nd l 1st li 2nd li tive 0.8 60° 2 100 Rela - 70° l e - Relative Luminous Intensity 0.7 ϕ - Angular Displacement 1 I e r 80° I V rel 0 10 0.6 0.4 0.2 0 0 10 20 30 95 10319 I - Forward Current (mA) F 2nd line Fig. 2 - Relative Luminous Intensity vs. Angular Displacement Fig. 5 - Relative Luminous Intensity vs. Forward Current Axis Title 1.2 10000 1.0 y it s n 0.8 1000 te In ne ne ine 0.6 tive 1st li 2nd li 2nd l Rela 0.4 100 - l I re 0.2 Blue Green Red 0 10 400 450 500 550 600 650 700 λ - Wavelengths (nm) 2nd line Fig. 3 - Relative Intensity vs. Wavelength Rev. 1.1, 11-Sep-2025
4
Document Number: 80510 For technical questions, contact: LED@vishay.com THIS DOCUMENT IS SUBJECT TO CHANGE WITHOUT NOTICE. THE PRODUCTS DESCRIBED HEREIN AND THIS DOCUMENT ARE SUBJECT TO SPECIFIC DISCLAIMERS, SET FORTH AT www.vishay.com/doc?91000