Datasheet CA3280, CA3280A (Intersil) - 8
| 制造商 | Intersil |
| 描述 | Dual, 9MHz, Operational Transconductance Amplifier (OTA) |
| 页数 / 页 | 10 / 8 — Typical Performance Curves. (Continued). 104. 1800. 15V. ) 103. V 1600. A … |
| 文件格式/大小 | PDF / 664 Kb |
| 文件语言 | 英语 |
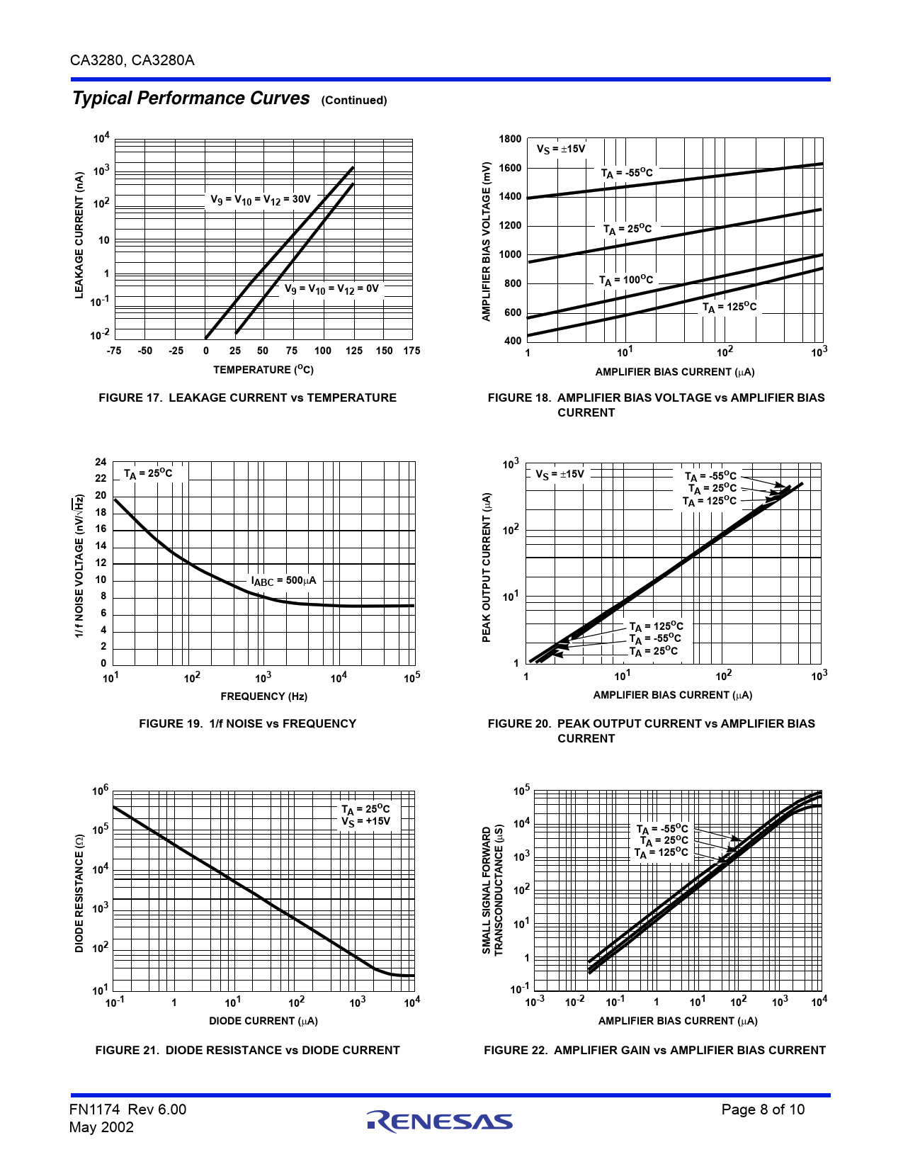
Typical Performance Curves. (Continued). 104. 1800. 15V. ) 103. V 1600. A = -55oC. 1400. 102. V9 = V10 = V12 = 30V. GE TA OL 1200. TA = 25oC

该数据表的模型线
文件文字版本
CA3280, CA3280A
Typical Performance Curves (Continued) 104 1800 VS
=
15V ) ) 103 V 1600 T A m A = -55oC n ( 1400 102 V9 = V10 = V12 = 30V GE TA OL 1200 TA = 25oC 10 V 1000 BIAS 1 R IE T V 800 F A = 100oC LEAKAGE CURRENT ( 9 = V10 = V12 = 0V 10-1 PLI M 600 TA = 125oC A 10-2 400 -75 -50 -25 0 25 50 75 100 125 150 175 1 101 102 103 TEMPERATURE (oC) AMPLIFIER BIAS CURRENT (
A) FIGURE 17. LEAKAGE CURRENT vs TEMPERATURE FIGURE 18. AMPLIFIER BIAS VOLTAGE vs AMPLIFIER BIAS CURRENT 24 103 TA = 25oC 22 VS
=
15V TA = -55oC ) T 20 A = 25oC T
A) A = 125oC 18 /
Hz ( V 16 NT (n 102 E RE 14 G 12 LTA O 10 IABC = 500
A V 8 SE 101 OI 6 OUTPUT CUR K f N 4 A TA = 125oC 1/ PE T 2 A = -55oC TA = 25oC 0 1 101 102 103 104 105 1 101 102 103 FREQUENCY (Hz) AMPLIFIER BIAS CURRENT (
A) FIGURE 19. 1/f NOISE vs FREQUENCY FIGURE 20. PEAK OUTPUT CURRENT vs AMPLIFIER BIAS CURRENT 106 105 TA = 25oC VS
= +15V 104 105 ) TA = -55oC RD
S) ( T ( A A = 25oC W T CE A = 125oC CE 103 104 AN AN FOR CT ST 102 103 IGNAL NDU RESI S O C 101 ODE ALL ANS DI 102 M S TR 1 101 10-1 10-1 1 101 102 103 104 10-3 10-2 10-1 1 101 102 103 104 DIODE CURRENT (
A) AMPLIFIER BIAS CURRENT (
A) FIGURE 21. DIODE RESISTANCE vs DIODE CURRENT FIGURE 22. AMPLIFIER GAIN vs AMPLIFIER BIAS CURRENT
FN1174 Rev 6.00 Page 8 of 10 May 2002