Datasheet VLDB1232, VLDTG1232 (Vishay) - 5

制造商Vishay
描述Dome Lens SMD LED
页数 / 页10 / 5 — VLDB1232.., VLDTG1232.
修订版1.0
文件格式/大小PDF / 238 Kb
文件语言英语

VLDB1232.., VLDTG1232.

VLDB1232.., VLDTG1232.

该数据表的模型线

文件文字版本

VLDB1232.., VLDTG1232..
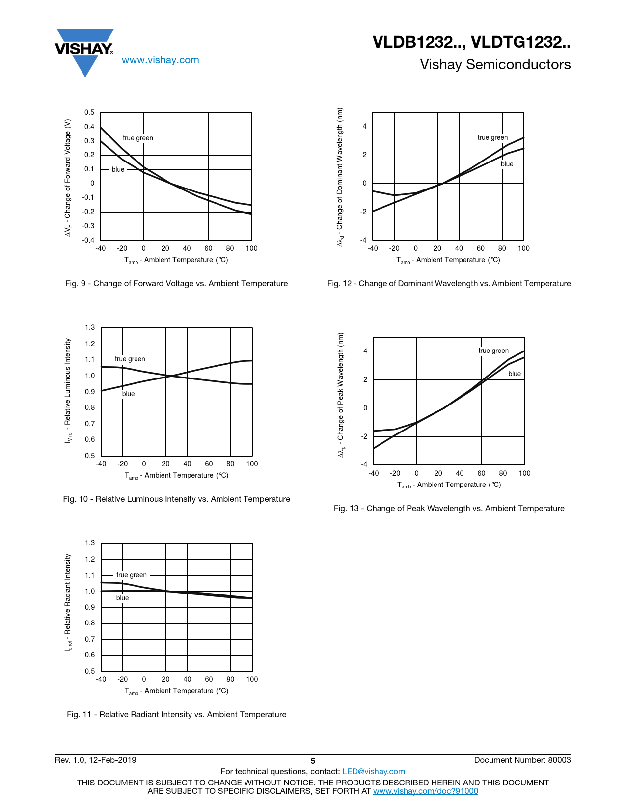
www.vishay.com Vishay Semiconductors Axis Title Axis Title ) 0.5 10000 10000 ) (nm (V 0.4 4 0.3 true green true green tage ength ol vel V 0.2 1000 a 2 1000 W ard blue 0.1 blue ine ne ne ine ne ne inant Forw 0 1st li m 0 2nd l 2nd li 2nd l o 1st li 2nd li D -0.1 100 100 hange of -0.2 -2 C - hange of F -0.3 C ΔV - -0.4 10 d -4 Δλ 10 -40 -20 0 20 40 60 80 100 -40 -20 0 20 40 60 80 100 T - Ambient Temperature (°C) T - Ambient Temperature (°C) amb amb 2nd line 2nd line Fig. 9 - Change of Forward Voltage vs. Ambient Temperature Fig. 12 - Change of Dominant Wavelength vs. Ambient Temperature Axis Title 1.3 10000 Axis Title ) 10000 ty 1.2 4 true green tensi n 1.1 true green ngth (nm e 1000 1.0 vel blue a inous I 2 1000 ine ne ne W 0.9 ine blue ak ne ne 2nd l e e Lum 1st li 2nd li v P 0.8 2nd l 0 ati 1st li 100 of 2nd li el R 0.7 100 - l hange 0.6 -2 I V re C - p 0.5 10 Δλ -40 -20 0 20 40 60 80 100 -4 10 T - Ambient Temperature (°C) -40 -20 0 20 40 60 80 100 amb 2nd line T - Ambient Temperature (°C) amb 2nd line Fig. 10 - Relative Luminous Intensity vs. Ambient Temperature Fig. 13 - Change of Peak Wavelength vs. Ambient Temperature Axis Title 1.3 10000 ty 1.2 tensi n 1.1 true green 1000 ant I 1.0 ine adi blue ne ne 0.9 2nd l e R v 1st li 2nd li ati 0.8 el 100 R - 0.7 el I e r 0.6 0.5 10 -40 -20 0 20 40 60 80 100 T - Ambient Temperature (°C) amb 2nd line Fig. 11 - Relative Radiant Intensity vs. Ambient Temperature Rev. 1.0, 12-Feb-2019
5
Document Number: 80003 For technical questions, contact: LED@vishay.com THIS DOCUMENT IS SUBJECT TO CHANGE WITHOUT NOTICE. THE PRODUCTS DESCRIBED HEREIN AND THIS DOCUMENT ARE SUBJECT TO SPECIFIC DISCLAIMERS, SET FORTH AT www.vishay.com/doc?91000