Datasheet CD4070BMS, CD4077BMS (Intersil) - 3
| 制造商 | Intersil |
| 描述 | CMOS Quad Exclusive OR and Exclusive NOR Gates |
| 页数 / 页 | 8 / 3 — TABLE 2. AC ELECTRICAL PERFORMANCE CHARACTERISTICS. LIMITS. GROUP A. … |
| 修订版 | 2017-12-22 |
| 文件格式/大小 | PDF / 271 Kb |
| 文件语言 | 英语 |
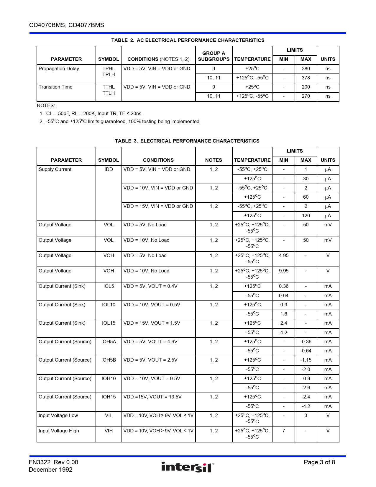
TABLE 2. AC ELECTRICAL PERFORMANCE CHARACTERISTICS. LIMITS. GROUP A. PARAMETER. SYMBOL. CONDITIONS. SUBGROUPS TEMPERATURE. MIN. MAX

该数据表的模型线
文件文字版本
CD4070BMS, CD4077BMS
TABLE 2. AC ELECTRICAL PERFORMANCE CHARACTERISTICS LIMITS GROUP A PARAMETER SYMBOL CONDITIONS
(NOTES 1, 2)
SUBGROUPS TEMPERATURE MIN MAX UNITS
Propagation Delay TPHL VDD = 5V, VIN = VDD or GND 9 +25oC - 280 ns TPLH 10, 11 +125oC, -55oC - 378 ns Transition Time TTHL VDD = 5V, VIN = VDD or GND 9 +25oC - 200 ns TTLH 10, 11 +125oC, -55oC - 270 ns NOTES: 1. CL = 50pF, RL = 200K, Input TR, TF < 20ns. 2. -55oC and +125oC limits guaranteed, 100% testing being implemented.
TABLE 3. ELECTRICAL PERFORMANCE CHARACTERISTICS LIMITS PARAMETER SYMBOL CONDITIONS NOTES TEMPERATURE MIN MAX UNITS
Supply Current IDD VDD = 5V, VIN = VDD or GND 1, 2 -55oC, +25oC - 1 A +125oC - 30 A VDD = 10V, VIN = VDD or GND 1, 2 -55oC, +25oC - 2 A +125oC - 60 A VDD = 15V, VIN = VDD or GND 1, 2 -55oC, +25oC - 2 A +125oC - 120 A Output Voltage VOL VDD = 5V, No Load 1, 2 +25oC, +125oC, - 50 mV -55oC Output Voltage VOL VDD = 10V, No Load 1, 2 +25oC, +125oC, - 50 mV -55oC Output Voltage VOH VDD = 5V, No Load 1, 2 +25oC, +125oC, 4.95 - V -55oC Output Voltage VOH VDD = 10V, No Load 1, 2 +25oC, +125oC, 9.95 - V -55oC Output Current (Sink) IOL5 VDD = 5V, VOUT = 0.4V 1, 2 +125oC 0.36 - mA -55oC 0.64 - mA Output Current (Sink) IOL10 VDD = 10V, VOUT = 0.5V 1, 2 +125oC 0.9 - mA -55oC 1.6 - mA Output Current (Sink) IOL15 VDD = 15V, VOUT = 1.5V 1, 2 +125oC 2.4 - mA -55oC 4.2 - mA Output Current (Source) IOH5A VDD = 5V, VOUT = 4.6V 1, 2 +125oC - -0.36 mA -55oC - -0.64 mA Output Current (Source) IOH5B VDD = 5V, VOUT = 2.5V 1, 2 +125oC - -1.15 mA -55oC - -2.0 mA Output Current (Source) IOH10 VDD = 10V, VOUT = 9.5V 1, 2 +125oC - -0.9 mA -55oC - -2.6 mA Output Current (Source) IOH15 VDD =15V, VOUT = 13.5V 1, 2 +125oC - -2.4 mA -55oC - -4.2 mA Input Voltage Low VIL VDD = 10V, VOH > 9V, VOL < 1V 1, 2 +25oC, +125oC, - 3 V -55oC Input Voltage High VIH VDD = 10V, VOH > 9V, VOL < 1V 1, 2 +25oC, +125oC, 7 - V -55oC FN3322 Rev 0.00 Page 3 of 8 December 1992