Datasheet AOK30B135W1 (Alpha & Omega) - 6
| 制造商 | Alpha & Omega |
| 描述 | 1350V, 30A Alpha IGBT with Diode |
| 页数 / 页 | 8 / 6 — TYPICAL ELECTRICAL AND THERMAL CHARACTERISTICS. itc. I (A). R (. Figure … |
| 文件格式/大小 | PDF / 1.2 Mb |
| 文件语言 | 英语 |
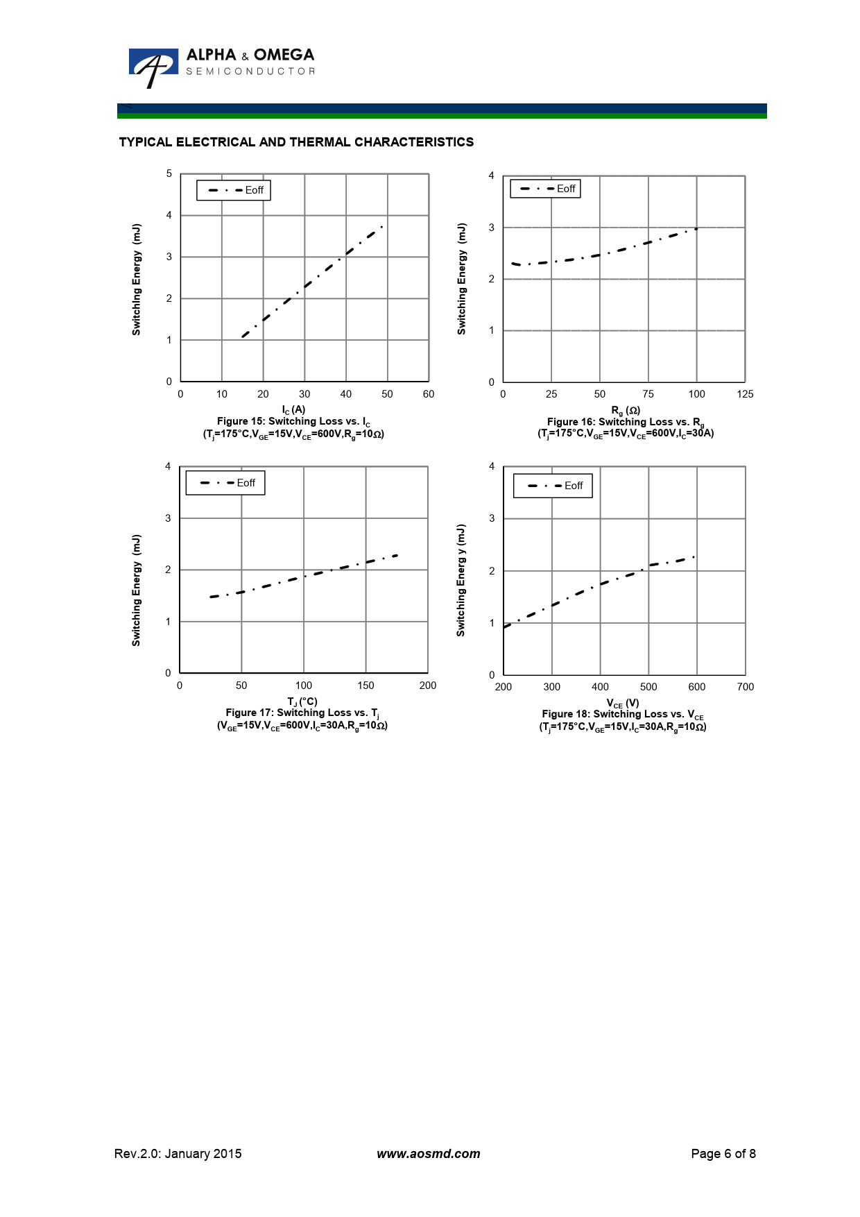
TYPICAL ELECTRICAL AND THERMAL CHARACTERISTICS. itc. I (A). R (. Figure 15: Switching Loss vs. IC

该数据表的模型线
文件文字版本
≤
TYPICAL ELECTRICAL AND THERMAL CHARACTERISTICS
5 4 Eoff Eoff 4
) ) J J
3
(m (m y
3
y rg rg e e n n
2
E E g g In
2
in h h itc itc w w S S
1 1 0 0 0 10 20 30 40 50 60 0 25 50 75 100 125
I (A) C R (
Ω
) g Figure 15: Switching Loss vs. IC Figure 16: Switching Loss vs. Rg (T =175°C,V =15V,V =600V,R =10
Ω
) (T =175°C,V =15V,V =600V,I =30A) j GE CE g j GE CE C
4 4 Eoff Eoff 3 3
) ) J J (m (m y y rg
2
rg e
2
e n n E E g g in in h h
1
itc
1
itc w w S S
0 0 0 50 100 150 200 200 300 400 500 600 700
T (°C) J V (V) CE Figure 17: Switching Loss vs. Tj Figure 18: Switching Loss vs. VCE (V =15V,V =600V,I =30A,R =10
Ω
) GE CE C g (T =175°C,V =15V,I =30A,R =10
Ω
) j GE C g
Rev.2.0: January 2015
www.aosmd.com
Page 6 of 8