Datasheet AD8271 (Analog Devices) - 10

制造商Analog Devices
描述Programmable Gain Precision Difference Amplifier
页数 / 页20 / 10 — AD8271. 140. GAIN = 2, ½. GAIN = 2. 120. GAIN = 1. 100. d (. GAIN = ½. …
文件格式/大小PDF / 543 Kb
文件语言英语

AD8271. 140. GAIN = 2, ½. GAIN = 2. 120. GAIN = 1. 100. d (. GAIN = ½. IVE P. T SI. –10. –15. –20. 10k. 100k. 10M. 100M. FREQUENCY (Hz). B) d. RR (. R (. E IV. AT G

AD8271 140 GAIN = 2, ½ GAIN = 2 120 GAIN = 1 100 d ( GAIN = ½ IVE P T SI –10 –15 –20 10k 100k 10M 100M FREQUENCY (Hz) B) d RR ( R ( E IV AT G

该数据表的模型线

文件文字版本

AD8271
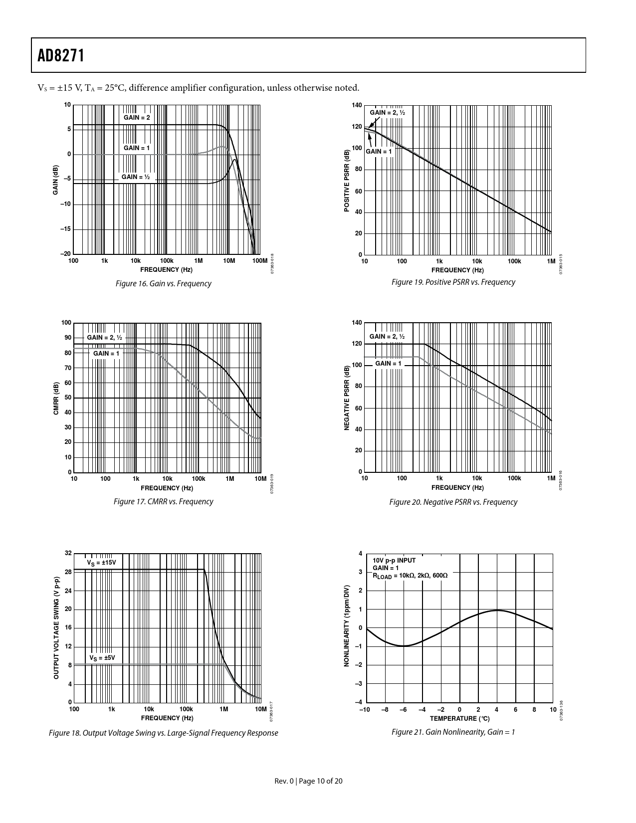
VS = ±15 V, TA = 25°C, difference amplifier configuration, unless otherwise noted.
10 140 GAIN = 2, ½ GAIN = 2 5 120 GAIN = 1 100 ) 0 B GAIN = 1 d ( ) R B 80 d ( SR –5 GAIN = ½ IN GA IVE P 60 T SI –10 PO 40 –15 20 –20
8
0
1 15
100 1k 10k 100k 1M 10M 100M
0 0 3-
10 100 1k 10k 100k 1M
3-
FREQUENCY (Hz)
36 36 07
FREQUENCY (Hz)
07 Figure 16. Gain vs. Frequency Figure 19. Positive PSRR vs. Frequency
100 140 90 GAIN = 2, ½ GAIN = 2, ½ 120 80 GAIN = 1 GAIN = 1 70 100 B) d 60 B) RR ( 80 d S 50 R ( P R E IV 60 CM 40 AT G 30 NE 40 20 20 10 0 0
9 16 0
10 100 1k 10k 100k 1M 10M
01
10 100 1k 10k 100k 1M
3- 3- 36
FREQUENCY (Hz)
36
FREQUENCY (Hz)
07 07 Figure 17. CMRR vs. Frequency Figure 20. Negative PSRR vs. Frequency
32 4 V 10V p-p INPUT S = ±15V GAIN = 1 28 3 ) RLOAD = 10kΩ, 2kΩ, 600Ω -p ) p 24 V V 2 DI G ( m/ IN 20 p 1 W p 1 S ( E Y G 16 T 0 A RI A LT E O 12 IN –1 V L T N U VS = ±5V 8 NO –2 TP U O 4 –3 0
7
–4
36 1
100 1k 10k 100k 1M 10M
013-
–10 –8 –6 –4 –2 0 2 4 6 8 10
3- 36
FREQUENCY (Hz)
36 07
TEMPERATURE (°C)
07 Figure 18. Output Voltage Swing vs. Large-Signal Frequency Response Figure 21. Gain Nonlinearity, Gain = 1 Rev. 0 | Page 10 of 20 Document Outline FEATURES APPLICATIONS FUNCTIONAL BLOCK DIAGRAM GENERAL DESCRIPTION TABLE OF CONTENTS REVISION HISTORY SPECIFICATIONS DIFFERENCE AMPLIFIER CONFIGURATIONS ABSOLUTE MAXIMUM RATINGS THERMAL RESISTANCE MAXIMUM POWER DISSIPATION ESD CAUTION PIN CONFIGURATION AND FUNCTION DESCRIPTION TYPICAL PERFORMANCE CHARACTERISTICS OPERATIONAL AMPLIFIER PLOTS THEORY OF OPERATION CIRCUIT INFORMATION DC Performance AC Performance Production Costs Size DRIVING THE AD8271 POWER SUPPLIES INPUT VOLTAGE RANGE APPLICATIONS INFORMATION DIFFERENCE AMPLIFIER CONFIGURATIONS SINGLE-ENDED CONFIGURATIONS Gain of 1 Configuration KELVIN MEASUREMENT INSTRUMENTATION AMPLIFIER DRIVING CABLING DRIVING AN ADC OUTLINE DIMENSIONS ORDERING GUIDE