Datasheet ADRF5515 (Analog Devices) - 9

制造商Analog Devices
描述Dual-Channel, 3.3 GHz to 4.0 GHz, 20 W Receiver Front End
页数 / 页15 / 9 — Data Sheet. ADRF5515. +105°C. +25°C. –40°C. Bm). ( 3. B ( 1d. T IP. UT P. …
文件格式/大小PDF / 413 Kb
文件语言英语

Data Sheet. ADRF5515. +105°C. +25°C. –40°C. Bm). ( 3. B ( 1d. T IP. UT P. UT O. 3.3. 3.4. 3.5. 3.6. 3.7. 3.8. 3.9. 4.0. 4.1. 4.2. OUTPUT POWER (dBm)

Data Sheet ADRF5515 +105°C +25°C –40°C Bm) ( 3 B ( 1d T IP UT P UT O 3.3 3.4 3.5 3.6 3.7 3.8 3.9 4.0 4.1 4.2 OUTPUT POWER (dBm)

该数据表的模型线

文件文字版本

Data Sheet ADRF5515 40 30 +105°C +105°C +25°C +25°C –40°C –40°C 35 25 ) Bm) dB d ( 3 B ( 1d T IP 30 20 U P TP UT P OU UT O 25 15 20 10 0 2 4 6 8
014
3.3 3.4 3.5 3.6 3.7 3.8 3.9 4.0 4.1 4.2
015
OUTPUT POWER (dBm) FREQUENCY (GHz)
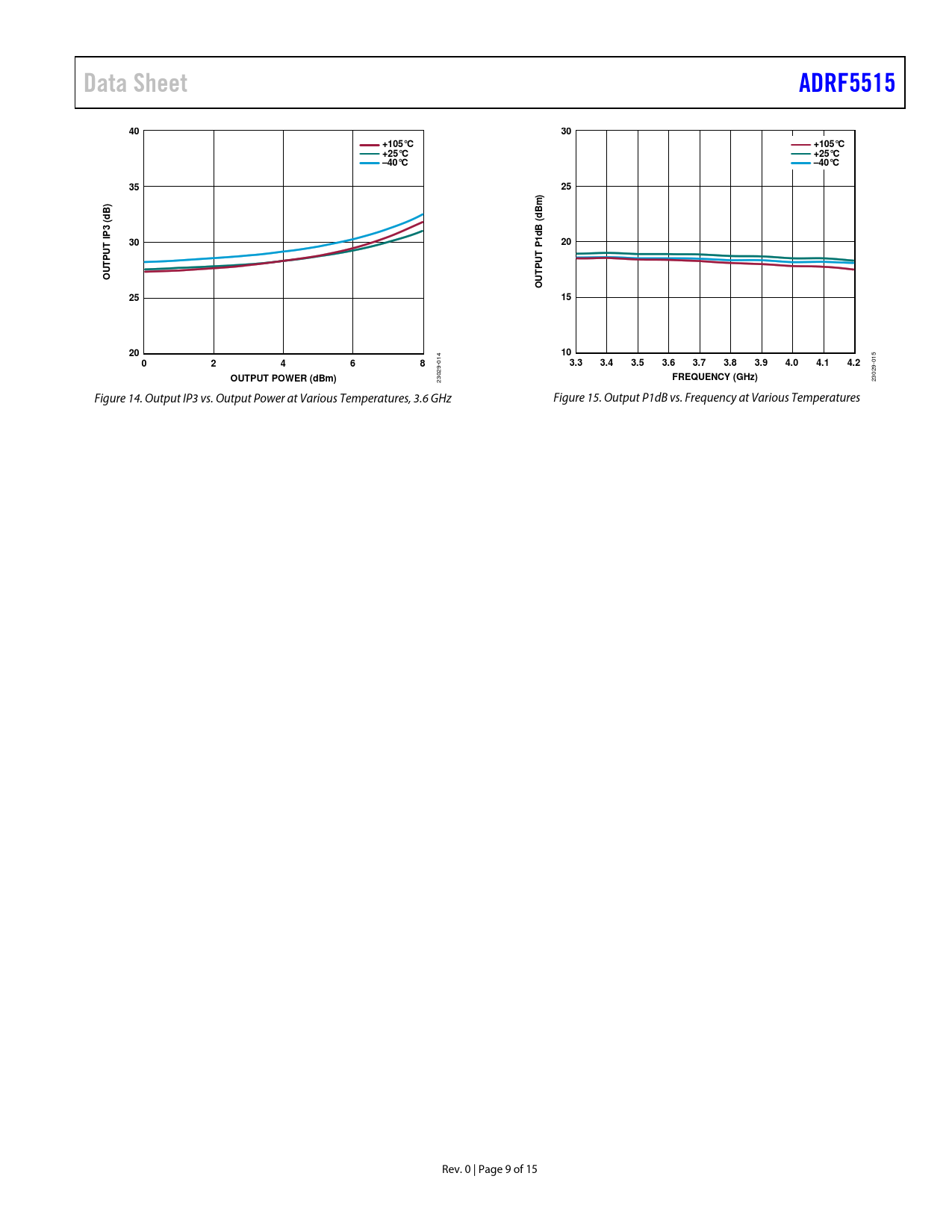
23029- 23029- Figure 14. Output IP3 vs. Output Power at Various Temperatures, 3.6 GHz Figure 15. Output P1dB vs. Frequency at Various Temperatures Rev. 0 | Page 9 of 15 Document Outline FEATURES APPLICATIONS GENERAL DESCRIPTION FUNCTIONAL BLOCK DIAGRAM TABLE OF CONTENTS REVISION HISTORY SPECIFICATIONS ELECTRICAL SPECIFICATIONS ABSOLUTE MAXIMUM RATINGS THERMAL RESISTANCE ELECTROSTATIC DISCHARGE (ESD) RATINGS ESD Ratings for ADRF5515 ESD CAUTION PIN CONFIGURATION AND FUNCTION DESCRIPTIONS INTERFACE SCHEMATICS TYPICAL PERFORMANCE CHARACTERISTICS RECEIVE OPERATION, HIGH GAIN MODE RECEIVE OPERATION, LOW GAIN MODE TRANSMIT OPERATION THEORY OF OPERATION SIGNAL PATH SELECT Transmit Operation Receive Operation BIASING SEQUENCE APPLICATIONS INFORMATION OUTLINE DIMENSIONS ORDERING GUIDE