Datasheet AUIRL7732S2TR (Infineon) - 4

制造商Infineon
描述Automotive Grade. Automotive DirectFET Power MOSFET
页数 / 页11 / 4 — Fig. 1. Fig. 2. Fig. 3. Fig. 4. Fig 5. Fig 6
文件格式/大小PDF / 437 Kb
文件语言英语

Fig. 1. Fig. 2. Fig. 3. Fig. 4. Fig 5. Fig 6

Fig 1 Fig 2 Fig 3 Fig 4 Fig 5 Fig 6

该数据表的模型线

文件文字版本

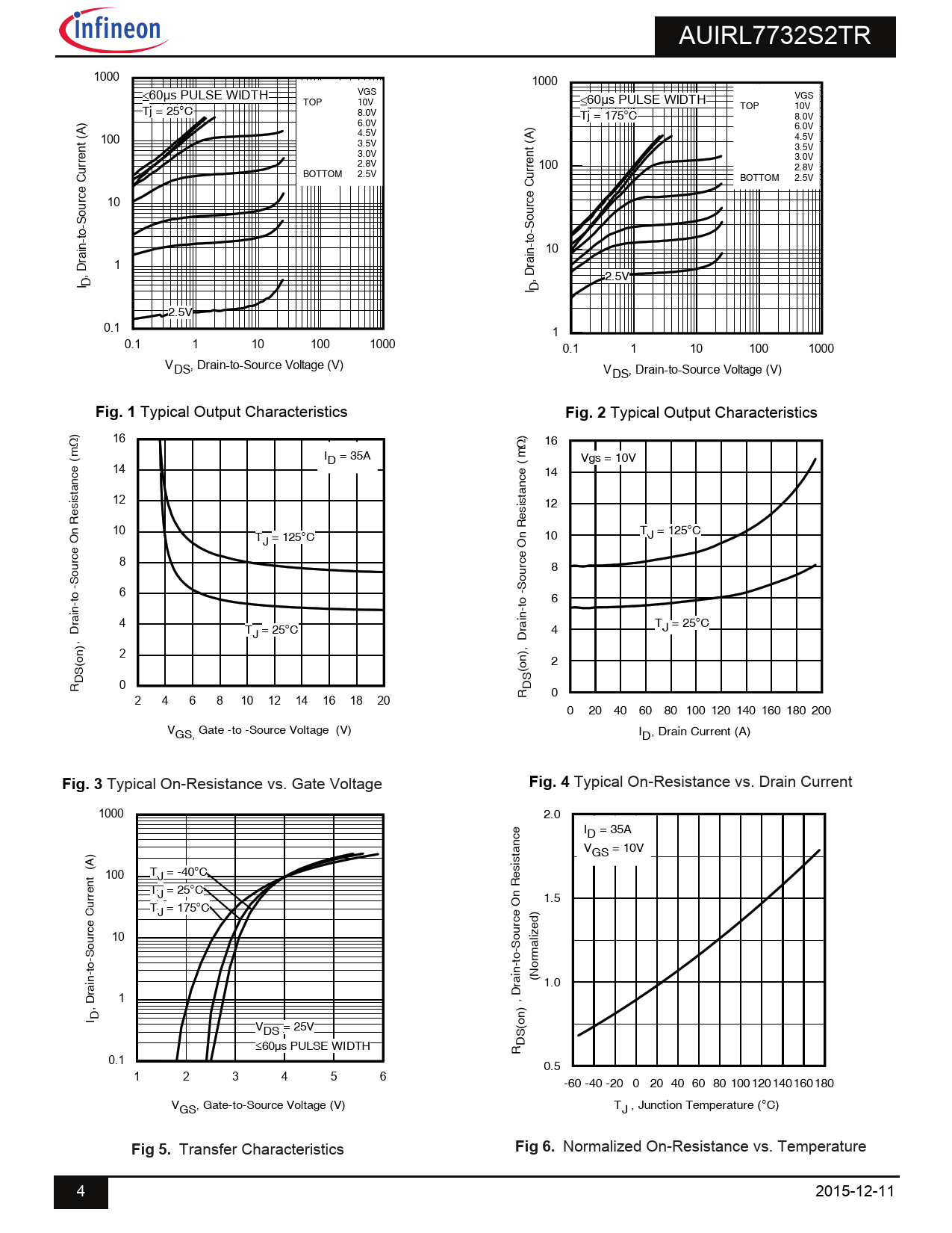
  AUIRL7732S2TR 1000 1000 VGS 60µs PULSE WIDTH VGS TOP 10V 60µs PULSE WIDTH Tj = 25°C TOP 10V 8.0V Tj = 175°C ) 8.0V 6.0V A ) 6.0V ( 4.5V t 100 A( 4.5V n 3.5V t 3.5V er 3.0V n r e 3.0V u 2.8V r 100 r 2.8V C BOTTOM 2.5V u BOTTOM 2.5V e C cr e 10 u cr o u S o - o S t - - o n t i - a n 10 r i 1 a D r , D 2.5V I D , I D 2.5V 0.1 1 0.1 1 10 100 1000 0.1 1 10 100 1000 VDS, Drain-to-Source Voltage (V) VDS, Drain-to-Source Voltage (V)
Fig. 1
Typical Output Characteristics
Fig. 2
Typical Output Characteristics ) 16 ) 16 m( m ID = 35A ( Vgs = 10V e 14 c e 14 n c a n ts a i 12 t s si 12 e s R e n R 10 T O n 10 J = 125°C TJ = 125°C e O cr e 8 u cr o 8 u S o - S o 6 - t - o 6 n t i - a n r 4 ia T D T r 4 J = 25°C , J = 25°C D ) n , 2 ) o( n 2 o S ( D S 0 R DR 0 2 4 6 8 10 12 14 16 18 20 0 20 40 60 80 100 120 140 160 180 200 VGS, Gate -to -Source Voltage (V) ID, Drain Current (A)
Fig. 3
Typical On-Resistance vs. Gate Voltage
Fig. 4
Typical On-Resistance vs. Drain Current 1000 2.0 ec ID = 35A n ) at VGS = 10V A s ( i s t 100 T e n J = -40°C e R r T r J = 25°C n u 1.5 O C T J = 175°C e ) e c d c r e r u z u 10 o il o S a S - - o mr o t t - o - n n i N i a ( a r 1.0 r D D 1 , ) I D n V o DS = 25V ( S 60µs PULSE WIDTH D R 0.1 0.5 1 2 3 4 5 6 -60 -40 -20 0 20 40 60 80 100120140160180 VGS, Gate-to-Source Voltage (V) TJ , Junction Temperature (°C)
Fig 5.
Transfer Characteristics
Fig 6.
Normalized On-Resistance vs. Temperature 4 2015-12-11