Datasheet ADP1853 (Analog Devices) - 8

制造商Analog Devices
描述Synchronous, Step-Down DC-to-DC Controller with Voltage Tracking and Synchronization
页数 / 页28 / 8 — ADP1853. Data Sheet. PIN CONFIGURATION AND FUNCTION DESCRIPTIONS. GOOD. …
修订版A
文件格式/大小PDF / 1.2 Mb
文件语言英语

ADP1853. Data Sheet. PIN CONFIGURATION AND FUNCTION DESCRIPTIONS. GOOD. RAM. ILIM. EN 1. 15 BST. SS 2. 14 DH. FB 3. 13 SW. COMP 4. TOP VIEW. 12 CS

ADP1853 Data Sheet PIN CONFIGURATION AND FUNCTION DESCRIPTIONS GOOD RAM ILIM EN 1 15 BST SS 2 14 DH FB 3 13 SW COMP 4 TOP VIEW 12 CS

该数据表的模型线

文件文字版本

ADP1853 Data Sheet PIN CONFIGURATION AND FUNCTION DESCRIPTIONS Q P RK RE GOOD T F RAM P ILIM 20 19 18 17 16 EN 1 15 BST SS 2 14 DH FB 3 ADP1853 13 SW COMP 4 TOP VIEW 12 CS AGND 5 11 DL 6 7 8 9 10 C N UT VI ND CCO G SYN KO V P CL NOTES 1. CONNECT THE BOTTOM OF THE
003
EXPOSED PAD TO THE SYSTEM AGND PLANE.
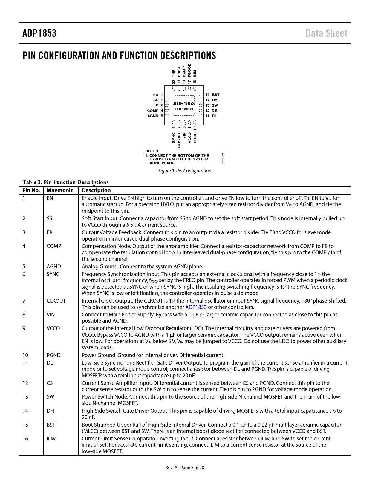
10594- Figure 3. Pin Configuration
Table 3. Pin Function Descriptions Pin No. Mnemonic Description
1 EN Enable Input. Drive EN high to turn on the controller, and drive EN low to turn the controller off. Tie EN to VIN for automatic startup. For a precision UVLO, put an appropriately sized resistor divider from VIN to AGND, and tie the midpoint to this pin. 2 SS Soft Start Input. Connect a capacitor from SS to AGND to set the soft start period. This node is internally pulled up to VCCO through a 6.5 µA current source. 3 FB Output Voltage Feedback. Connect this pin to an output via a resistor divider. Tie FB to VCCO for slave mode operation in interleaved dual-phase configuration. 4 COMP Compensation Node. Output of the error amplifier. Connect a resistor-capacitor network from COMP to FB to compensate the regulation control loop. In interleaved dual-phase configuration, tie this pin to the COMP pin of the second channel. 5 AGND Analog Ground. Connect to the system AGND plane. 6 SYNC Frequency Synchronization Input. This pin accepts an external clock signal with a frequency close to 1× the internal oscillator frequency, fOSC, set by the FREQ pin. The controller operates in forced PWM when a periodic clock signal is detected at SYNC or when SYNC is high. The resulting switching frequency is 1× the SYNC frequency. When SYNC is low or left floating, the controller operates in pulse skip mode. 7 CLKOUT Internal Clock Output. The CLKOUT is 1× the internal oscillator or input SYNC signal frequency, 180° phase-shifted. This pin can be used to synchronize another ADP1853 or other controllers. 8 VIN Connect to Main Power Supply. Bypass with a 1 µF or larger ceramic capacitor connected as close to this pin as possible and AGND. 9 VCCO Output of the Internal Low Dropout Regulator (LDO). The internal circuitry and gate drivers are powered from VCCO. Bypass VCCO to AGND with a 1 μF or larger ceramic capacitor. The VCCO output remains active even when EN is low. For operations at VIN below 5 V, VIN may be jumped to VCCO. Do not use the LDO to power other auxiliary system loads. 10 PGND Power Ground. Ground for internal driver. Differential current. 11 DL Low-Side Synchronous Rectifier Gate Driver Output. To program the gain of the current sense amplifier in a current mode or to set voltage mode control, connect a resistor between DL and PGND. This pin is capable of driving MOSFETs with a total input capacitance up to 20 nF. 12 CS Current Sense Amplifier Input. Differential current is sensed between CS and PGND. Connect this pin to the current sense resistor or to the SW pin to sense the current. Tie this pin to PGND for voltage mode operation. 13 SW Power Switch Node. Connect this pin to the source of the high-side N-channel MOSFET and the drain of the low- side N-channel MOSFET. 14 DH High-Side Switch Gate Driver Output. This pin is capable of driving MOSFETs with a total input capacitance up to 20 nF. 15 BST Boot Strapped Upper Rail of High-Side Internal Driver. Connect a 0.1 µF to a 0.22 µF multilayer ceramic capacitor (MLCC) between BST and SW. There is an internal boost diode rectifier connected between VCCO and BST. 16 ILIM Current-Limit Sense Comparator Inverting Input. Connect a resistor between ILIM and SW to set the current- limit offset. For accurate current-limit sensing, connect ILIM to a current sense resistor at the source of the low-side MOSFET. Rev. A | Page 8 of 28 Document Outline FEATURES APPLICATIONS GENERAL DESCRIPTION REVISION HISTORY SPECIFICATIONS ABSOLUTE MAXIMUM RATINGS ESD CAUTION SIMPLIFIED BLOCK DIAGRAM PIN CONFIGURATION AND FUNCTION DESCRIPTIONS TYPICAL PERFORMANCE CHARACTERISTICS THEORY OF OPERATION CONTROL ARCHITECTURE OSCILLATOR FREQUENCY SYNCHRONIZATION PWM OR PULSE SKIP MODE OF OPERATION CLKOUT SIGNAL SYNCHRONOUS RECTIFIER AND DEAD TIME INPUT UNDERVOLTAGE LOCKOUT INTERNAL LINEAR REGULATOR OVERVOLAGE PROTECTION POWER GOOD SHORT-CIRCUIT AND CURRENT-LIMIT PROTECTION ENABLE/DISABLE CONTROL THERMAL OVERLOAD PROTECTION INTERLEAVED DUAL-PHASE OPERATION APPLICATIONS INFORMATION ADISIMPOWER DESIGN TOOL SETTING THE OUTPUT VOLTAGE SOFT START SETTING THE CURRENT LIMIT ACCURATE CURRENT-LIMIT SENSING INPUT CAPACITOR SELECTION VIN PIN FILTER BOOST CAPACITOR SELECTION INDUCTOR SELECTION OUTPUT CAPACITOR SELECTION MOSFET SELECTION LOOP COMPENSATION—VOLTAGE MODE Type III Compensation LOOP COMPENSATION—CURRENT MODE Setting the Slope Compensation Setting the Current Sense Gain Type II Compensation SWITCHING NOISE AND OVERSHOOT REDUCTION VOLTAGE TRACKING Coincident Tracking Ratiometric Tracking PCB LAYOUT GUIDLINES TYPICAL OPERATING CIRCUITS OUTLINE DIMENSIONS ORDERING GUIDE