Datasheet ADA4075-2 (Analog Devices) - 10
| 制造商 | Analog Devices |
| 描述 | Ultralow Noise Amplifier at Lower Power |
| 页数 / 页 | 24 / 10 — ADA4075-2. Data Sheet. 140. VSY = ±15V. VSY = ±5V. 120. 100. RR (. 10k. … |
| 修订版 | C |
| 文件格式/大小 | PDF / 1.1 Mb |
| 文件语言 | 英语 |
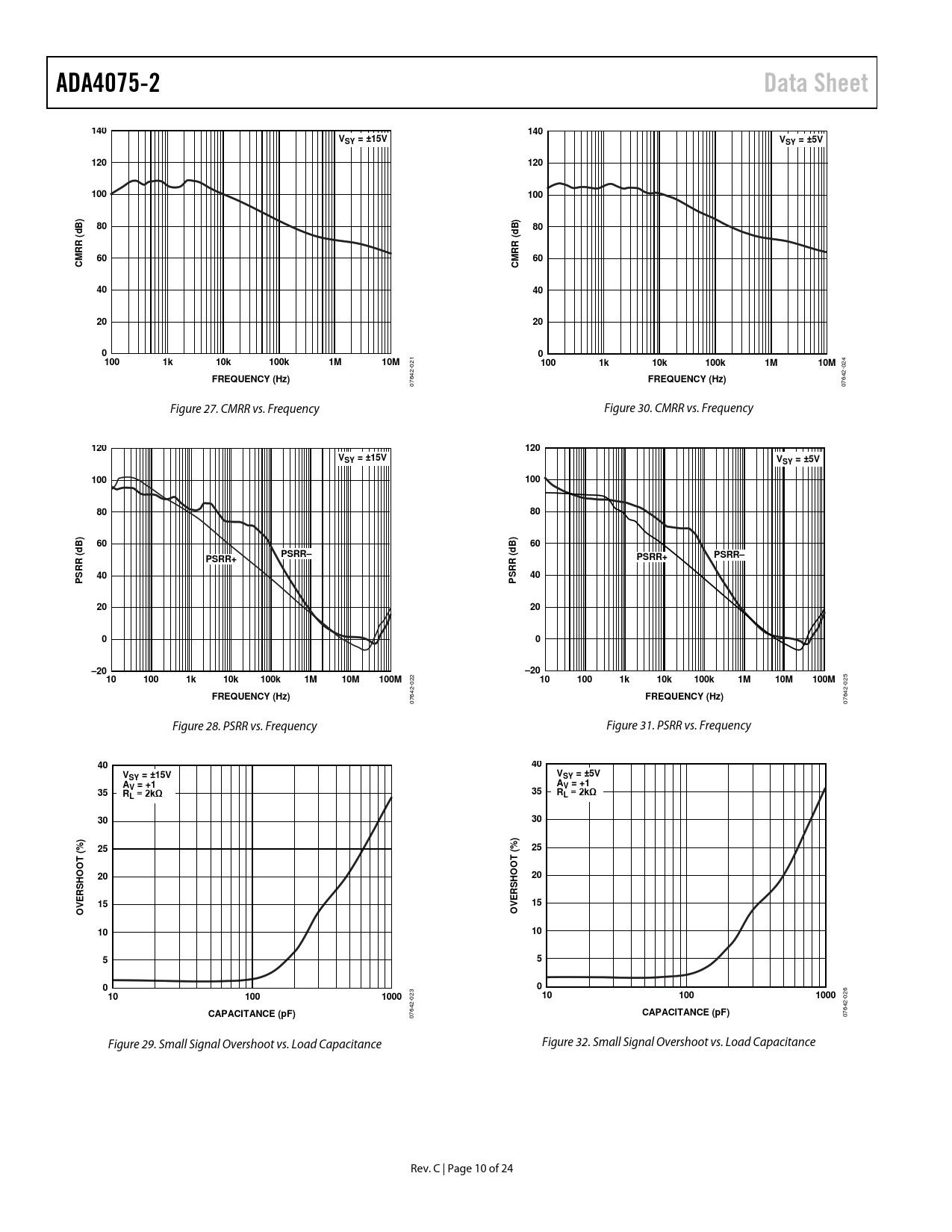
ADA4075-2. Data Sheet. 140. VSY = ±15V. VSY = ±5V. 120. 100. RR (. 10k. 100k. 10M. FREQUENCY (Hz). PSRR–. PSRR+. –20. 100M. SY = ±15V. SY = ±5V. V = +1

该数据表的模型线
文件文字版本
ADA4075-2 Data Sheet 140 140 VSY = ±15V VSY = ±5V 120 120 100 100 B) 80 B) 80 d d RR ( RR ( 60 60 CM CM 40 40 20 20 0 0 100 1k 10k 100k 1M 10M
021
100 1k 10k 100k 1M 10M
024
FREQUENCY (Hz) FREQUENCY (Hz)
07642- 07642- Figure 27. CMRR vs. Frequency Figure 30. CMRR vs. Frequency
120 120 VSY = ±15V VSY = ±5V 100 100 80 80 B) 60 B) 60 d d PSRR– PSRR+ PSRR+ PSRR– RR ( RR ( S 40 S 40 P P 20 20 0 0 –20 –20 10 100 1k 10k 100k 1M 10M 100M 10 100 1k 10k 100k 1M 10M 100M
022 025
FREQUENCY (Hz) FREQUENCY (Hz)
07642- 07642- Figure 28. PSRR vs. Frequency Figure 31. PSRR vs. Frequency
40 40 V V SY = ±15V SY = ±5V A A V = +1 V = +1 35 R 35 R L = 2kΩ L = 2kΩ 30 30 ) ) 25 25 (% (% T T O O O O 20 20 SH SH VER 15 VER 15 O O 10 10 5 5 0 0 10 100 1000
023
10 100 1000
026
CAPACITANCE (pF) CAPACITANCE (pF)
07642- 07642- Figure 29. Small Signal Overshoot vs. Load Capacitance Figure 32. Small Signal Overshoot vs. Load Capacitance Rev. C | Page 10 of 24 Document Outline Features Applications Pin Configurations General Description Table of Contents Revision History Specifications Absolute Maximum Ratings Thermal Resistance Power Sequencing ESD Caution Typical Performance Characteristics Applications Information Input Protection Total Harmonic Distortion Phase Reversal DAC Output Filter Balanced Line Driver Balanced Line Receiver Low Noise Parametric Equalizer Schematic Outline Dimensions Ordering Guide