Datasheet AD633 (Analog Devices) - 7

制造商Analog Devices
描述Low Cost Analog Multiplier
页数 / 页20 / 7 — Data Sheet. AD633. mV ± (. UT P. UT O −1. −3 0 0.5 1.0 1.5 2.0 2.5 3.0 …
修订版K
文件格式/大小PDF / 1.8 Mb
文件语言英语

Data Sheet. AD633. mV ± (. UT P. UT O −1. −3 0 0.5 1.0 1.5 2.0 2.5 3.0 3.5 4.0 4.5 5.0. TIME (Minutes)

Data Sheet AD633 mV ± ( UT P UT O −1 −3 0 0.5 1.0 1.5 2.0 2.5 3.0 3.5 4.0 4.5 5.0 TIME (Minutes)

该数据表的模型线

文件文字版本

Data Sheet AD633 3 2 ) 1 mV ± ( 0 UT P UT O −1 −2 −3 0 0.5 1.0 1.5 2.0 2.5 3.0 3.5 4.0 4.5 5.0
009
TIME (Minutes)
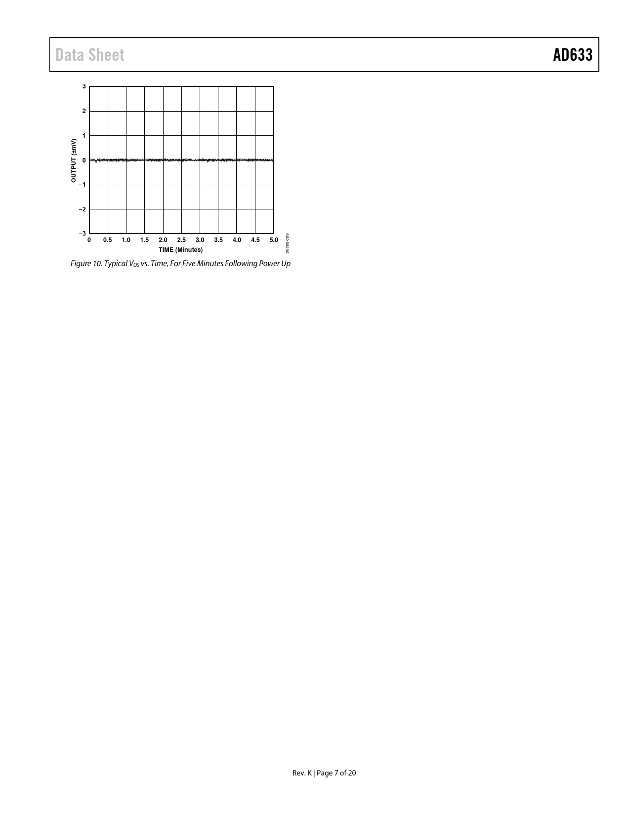
00786- Figure 10. Typical VOS vs. Time, For Five Minutes Following Power Up Rev. K | Page 7 of 20 Document Outline FEATURES APPLICATIONS FUNCTIONAL BLOCK DIAGRAM GENERAL DESCRIPTION PRODUCT HIGHLIGHTS TABLE OF CONTENTS REVISION HISTORY SPECIFICATIONS ABSOLUTE MAXIMUM RATINGS THERMAL RESISTANCE ESD CAUTION PIN CONFIGURATIONS AND FUNCTION DESCRIPTIONS TYPICAL PERFORMANCE CHARACTERISTICS FUNCTIONAL DESCRIPTION ERROR SOURCES APPLICATIONS INFORMATION MULTIPLIER CONNECTIONS SQUARING AND FREQUENCY DOUBLING GENERATING INVERSE FUNCTIONS VARIABLE SCALE FACTOR CURRENT OUTPUT LINEAR AMPLITUDE MODULATOR VOLTAGE-CONTROLLED, LOW-PASS AND HIGH-PASS FILTERS VOLTAGE-CONTROLLED QUADRATURE OSCILLATOR AUTOMATIC GAIN CONTROL (AGC) AMPLIFIERS MODEL RESULTS EXAMPLES OF DC, SIN, AND PULSE SOLUTIONS USING MULTISIM EXAMPLES OF DC, SIN, AND PULSE SOLUTIONS USING PSPICE EXAMPLES OF DC, SIN, AND PULSE SOLUTIONS USING SIMETRIX EVALUATION BOARD OUTLINE DIMENSIONS ORDERING GUIDE