Datasheet ADA4665-2 (Analog Devices) - 6
| 制造商 | Analog Devices |
| 描述 | 16 V, 1 MHz, CMOS Rail-to-Rail Input/Output Operational Amplifier |
| 页数 / 页 | 20 / 6 — ADA4665-2. TYPICAL PERFORMANCE CHARACTERISTICS. VSY = 5V. VSY = 16V. CM = … |
| 文件格式/大小 | PDF / 708 Kb |
| 文件语言 | 英语 |
ADA4665-2. TYPICAL PERFORMANCE CHARACTERISTICS. VSY = 5V. VSY = 16V. CM = VSY/2. VCM = VSY/2. R 50. P 40. OF 30. U 20. OS (mV)

该数据表的模型线
文件文字版本
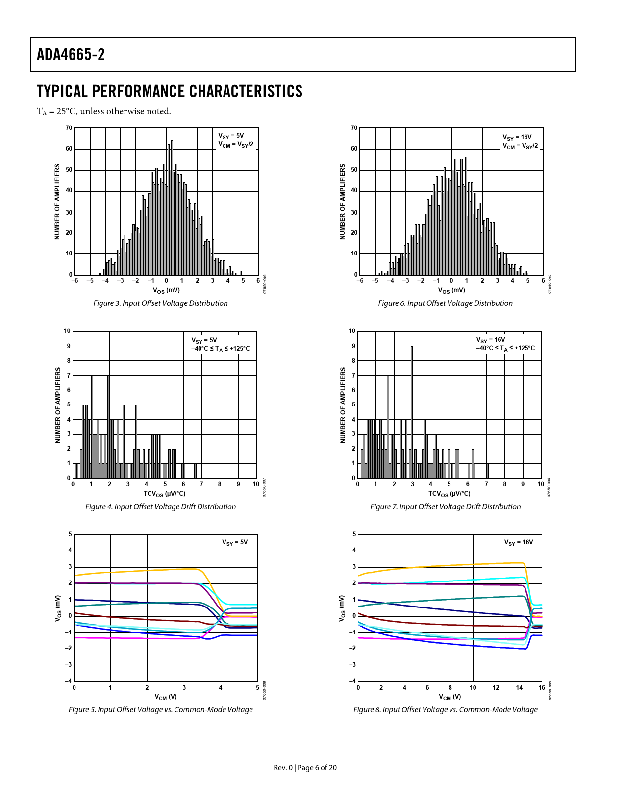
ADA4665-2 TYPICAL PERFORMANCE CHARACTERISTICS
TA = 25°C, unless otherwise noted.
70 70 VSY = 5V VSY = 16V V 60 CM = VSY/2 60 VCM = VSY/2 S S R 50 R 50 IE IE IF IF L L P 40 P 40 M M A A OF 30 OF R 30 R E E MB MB U 20 U 20 N N 10 10 0
6
0
3
–6 –5 –4 –3 –2 –1 0 1 2 3 4 5 6
00
–6 –5 –4 –3 –2 –1 0 1 2 3 4 5 6
00 0- 0-
V
65
V
65
OS (mV)
07
OS (mV)
07 Figure 3. Input Offset Voltage Distribution Figure 6. Input Offset Voltage Distribution
10 10 VSY = 5V VSY = 16V 9 9 –40°C ≤ TA ≤ +125°C –40°C ≤ TA ≤ +125°C 8 8 S S R 7 R 7 IE IE IF IF L 6 L P 6 P M M A 5 A 5 OF OF R 4 R 4 E E MB 3 MB U 3 U N N 2 2 1 1 0
7
0
4
0 1 2 3 4 5 6 7 8 9 10
00
0 1 2 3 4 5 6 7 8 9 10
00 0- 0-
TCV
65
TCV
65
OS (µV/°C)
07
OS (µV/°C)
07 Figure 4. Input Offset Voltage Drift Distribution Figure 7. Input Offset Voltage Drift Distribution
5 5 VSY = 5V VSY = 16V 4 4 3 3 2 2 V) 1 V) 1 (m (m OS 0 OS 0 V V –1 –1 –2 –2 –3 –3 –4
8
–4
5
0 1 2 3 4 5
00
0 2 4 6 8 10 12 14 16
00 0- 0-
V
65
V
65
CM (V)
07
CM (V)
07 Figure 5. Input Offset Voltage vs. Common-Mode Voltage Figure 8. Input Offset Voltage vs. Common-Mode Voltage Rev. 0 | Page 6 of 20 Document Outline FEATURES APPLICATIONS PIN CONFIGURATIONS GENERAL DESCRIPTION TABLE OF CONTENTS REVISION HISTORY SPECIFICATIONS ELECTRICAL CHARACTERISTICS—16 V OPERATION ELECTRICAL CHARACTERISTICS—5 V OPERATION ABSOLUTE MAXIMUM RATINGS THERMAL RESISTANCE ESD CAUTION TYPICAL PERFORMANCE CHARACTERISTICS APPLICATIONS INFORMATION RAIL-TO-RAIL INPUT OPERATION CURRENT SHUNT SENSOR ACTIVE FILTERS OUTLINE DIMENSIONS ORDERING GUIDE