Datasheet ADXL1003 (Analog Devices) - 7
| 制造商 | Analog Devices |
| 描述 | Low Noise, Wide Bandwidth, MEMS Accelerometer |
| 页数 / 页 | 14 / 7 — Data Sheet. ADXL1003. IO T A. SET. –10. –40. –20. 100. 120. 2.45 2.46 … |
| 文件格式/大小 | PDF / 518 Kb |
| 文件语言 | 英语 |
Data Sheet. ADXL1003. IO T A. SET. –10. –40. –20. 100. 120. 2.45 2.46 2.47 2.48 2.49 2.5 2.51 2.52 2.53 2.54 2.55. TEMPERATURE (°C)

该数据表的模型线
文件文字版本
Data Sheet ADXL1003 10 40 8 35 ) 6 (% ) N 30 (g 4 IO T A SET L F 25 2 F PU O 0 PO 20 ED F IZ O L –2 T A N 15 M E R –4 C O R N 10 PE –6 5 –8 –10 0
3
–40 –20 0 20 40 60 80 100 120 2.45 2.46 2.47 2.48 2.49 2.5 2.51 2.52 2.53 2.54 2.55
-010 01 96-
TEMPERATURE (°C)
596
0g OUTPUT DISTRIBUTION (V)
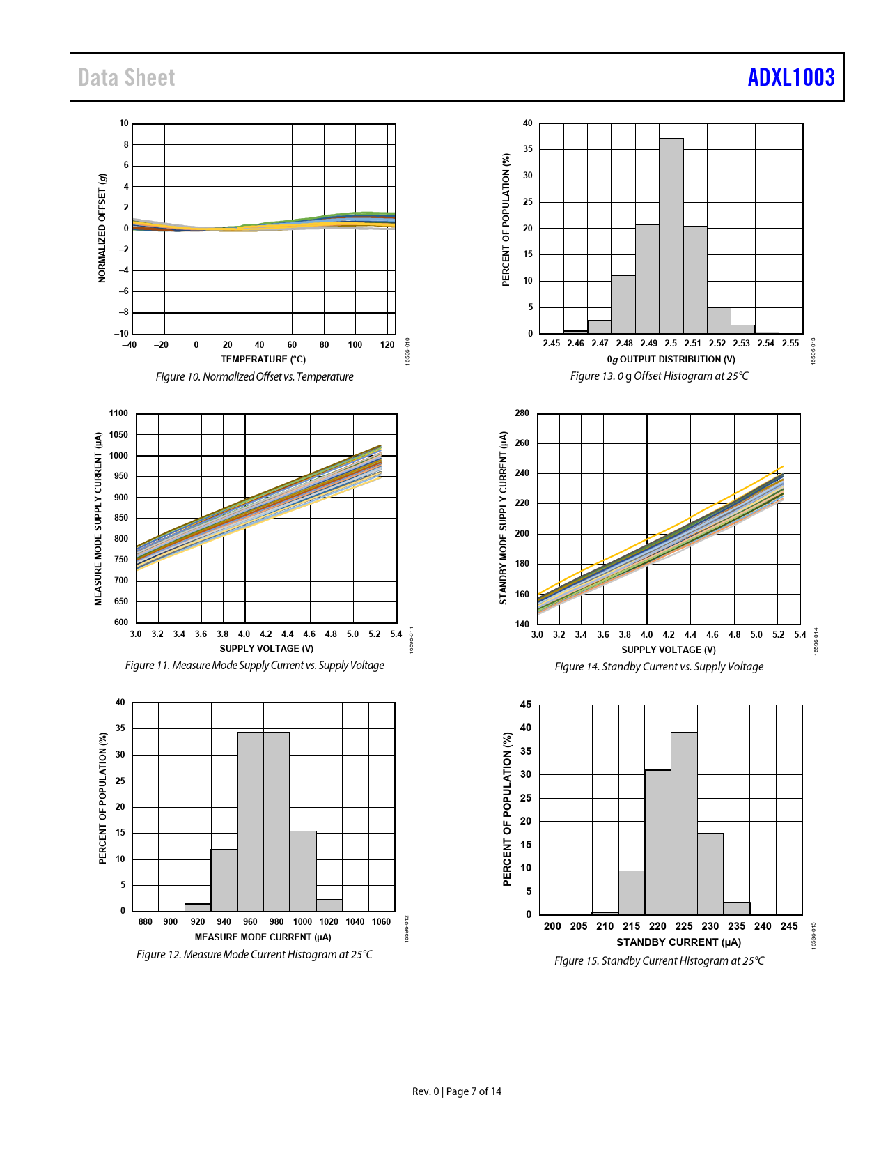
16 165 Figure 10. Normalized Offset vs. Temperature Figure 13. 0 g Offset Histogram at 25°C
1100 280 ) 1050 ) A A µ 260 ( (µ 1000 T NT EN RE 950 R 240 R U CUR Y 900 Y C L 220 P 850 PPL UP S 200 800 E SU DE D O M 750 MO Y 180 B URE 700 D N AS E A 160 M 650 ST 600 140
1
3.0 3.2 3.4 3.6 3.8 4.0 4.2 4.4 4.6 4.8 5.0 5.2 5.4
-01
3.0 3.2 3.4 3.6 3.8 4.0 4.2 4.4 4.6 4.8 5.0 5.2 5.4
014 6
SUPPLY VOLTAGE (V)
59 96-
SUPPLY VOLTAGE (V)
16 165 Figure 11. Measure Mode Supply Current vs. Supply Voltage Figure 14. Standby Current vs. Supply Voltage
40 45 35 ) 40 ) % ( % N ( 30 35 IO T ION A T L 30 25 A L PU U 25 PO 20 F O POP T 20 15 OF EN C T 15 N 10 E PER C R 10 5 PE 5 0
2
0 880 900 920 940 960 980 1000 1020 1040 1060
-01
200 205 210 215 220 225 230 235 240 245 MEASURE MODE CURRENT (µA)
-015 596 16
STANDBY CURRENT (µA)
596 16 Figure 12. Measure Mode Current Histogram at 25°C Figure 15. Standby Current Histogram at 25°C Rev. 0 | Page 7 of 14 Document Outline FEATURES APPLICATIONS FUNCTIONAL BLOCK DIAGRAM GENERAL DESCRIPTION TABLE OF CONTENTS REVISION HISTORY SPECIFICATIONS ABSOLUTE MAXIMUM RATINGS THERMAL RESISTANCE RECOMMENDED SOLDERING PROFILE ESD CAUTION PIN CONFIGURATION AND FUNCTION DESCRIPTIONS TYPICAL PERFORMANCE CHARACTERISTICS THEORY OF OPERATION MECHANICAL DEVICE OPERATION OPERATING MODES Measure Mode Standby Mode BANDWIDTH APPLICATIONS INFORMATION APPLICATION CIRCUIT ON DEMAND SELF TEST RATIOMETRIC OUTPUT VOLTAGE INTERFACING ANALOG OUTPUT BELOW 10 kHz INTERFACING ANALOG OUTPUT BEYOND 10 kHz OVERRANGE MECHANICAL CONSIDERATIONS FOR MOUNTING LAYOUT AND DESIGN RECOMMENDATIONS OUTLINE DIMENSIONS ORDERING GUIDE