Datasheet ADR441-EP (Analog Devices) - 6

制造商Analog Devices
描述Ultralow Noise, LDO XFET® 2.5V Voltage Reference w/Current Sink and Source
页数 / 页8 / 6 — ADR441-EP. Enhanced Product. TYPICAL PERFORMANCE CHARACTERISTICS. 2.5020. …
文件格式/大小PDF / 160 Kb
文件语言英语

ADR441-EP. Enhanced Product. TYPICAL PERFORMANCE CHARACTERISTICS. 2.5020. 2.5015. 2.5010. V (. ppm. GE 2.5005. TION. OLTA 2.5000. T V U. 2.4995

ADR441-EP Enhanced Product TYPICAL PERFORMANCE CHARACTERISTICS 2.5020 2.5015 2.5010 V ( ppm GE 2.5005 TION OLTA 2.5000 T V U 2.4995

该数据表的模型线

文件文字版本

ADR441-EP Enhanced Product TYPICAL PERFORMANCE CHARACTERISTICS
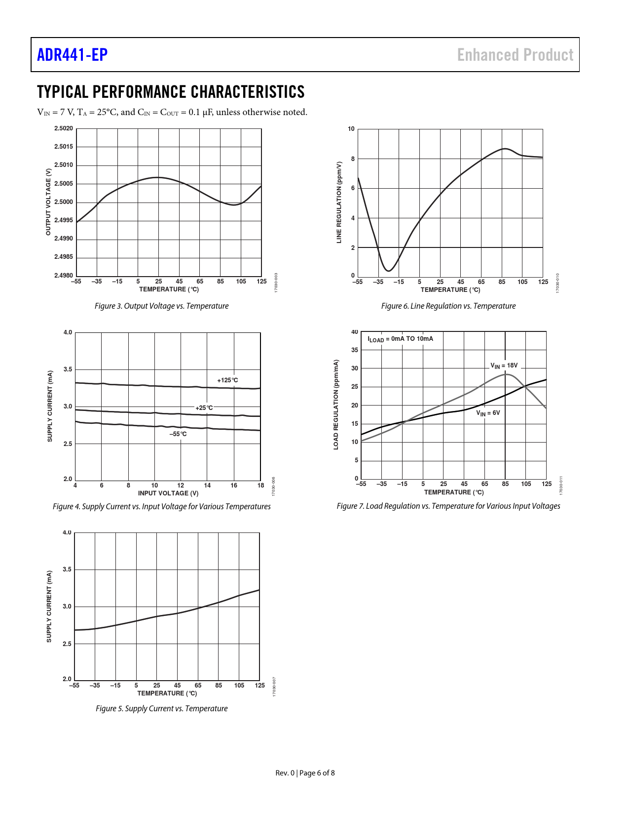
VIN = 7 V, TA = 25°C, and CIN = COUT = 0.1 µF, unless otherwise noted.
2.5020 10 2.5015 ) 8 2.5010 ) /V V ( ppm GE 2.5005 ( 6 TION OLTA 2.5000 LA T V U GU 2.4995 E 4 TP R OU E 2.4990 LIN 2 2.4985 2.4980 0
003
–55 –35 –15 5 25 45 65 85 105 125
010
–55 –35 –15 5 25 45 65 85 105 125 TEMPERATURE (°C)
17030-
TEMPERATURE (°C)
17030- Figure 3. Output Voltage vs. Temperature Figure 6. Line Regulation vs. Temperature
4.0 40 ILOAD = 0mA TO 10mA 35 ) A V 3.5 IN = 18V /m 30 mA) +125°C ( ppm ( 25 NT TION 3.0 +25°C 20 LA CURRE VIN = 6V Y GU L E 15 P R UP –55°C D S 2.5 10 LOA 5 2.0 0
006 011
4 6 8 10 12 14 16 18 –55 –35 –15 5 25 45 65 85 105 125 INPUT VOLTAGE (V) TEMPERATURE (°C)
17030- 17030- Figure 4. Supply Current vs. Input Voltage for Various Temperatures Figure 7. Load Regulation vs. Temperature for Various Input Voltages
4.0 3.5 mA) ( NT 3.0 CURRE Y L P UP S 2.5 2.0
007
–55 –35 –15 5 25 45 65 85 105 125 TEMPERATURE (°C)
17030- Figure 5. Supply Current vs. Temperature Rev. 0 | Page 6 of 8 Document Outline FEATURES ENHANCED PRODUCT FEATURES APPLICATIONS TYPICAL APPLICATION CIRCUIT GENERAL DESCRIPTION TABLE OF CONTENTS REVISION HISTORY SPECIFICATIONS ELECTRICAL CHARACTERISTICS ABSOLUTE MAXIMUM RATINGS THERMAL RESISTANCE ESD CAUTION PIN CONFIGURATION AND FUNCTION DESCRIPTIONS TYPICAL PERFORMANCE CHARACTERISTICS OUTLINE DIMENSIONS ORDERING GUIDE