Datasheet ADL5601 (Analog Devices) - 10

制造商Analog Devices
描述50 MHz TO 4.0 GHz RF/IF Gain Block
页数 / 页16 / 10 — ADL5601. Data Sheet. –30. –40. –50. Bc). –60. EN C. –70. HARM. PER. –80. …
修订版A
文件格式/大小PDF / 323 Kb
文件语言英语

ADL5601. Data Sheet. –30. –40. –50. Bc). –60. EN C. –70. HARM. PER. –80. –90. 0.5. 1.0. 1.5. 2.0. 2.5. 3.0. 3.5. 4.0. FREQUENCY (GHz). OIP3 (dBm). 14.5. 14.7. 14.9. 15.1

ADL5601 Data Sheet –30 –40 –50 Bc) –60 EN C –70 HARM PER –80 –90 0.5 1.0 1.5 2.0 2.5 3.0 3.5 4.0 FREQUENCY (GHz) OIP3 (dBm) 14.5 14.7 14.9 15.1

该数据表的模型线

文件文字版本

ADL5601 Data Sheet –30 80 70 –40 60 –50 Bc) %) d H2 50 ( ( E CS AG –60 NI T 40 O EN C 30 –70 HARM PER H3 20 –80 10 –90 0 0 0.5 1.0 1.5 2.0 2.5 3.0 3.5 4.0 38 39 40 41 42 43 44 45 46 47 48 49
022 010
FREQUENCY (GHz) OIP3 (dBm)
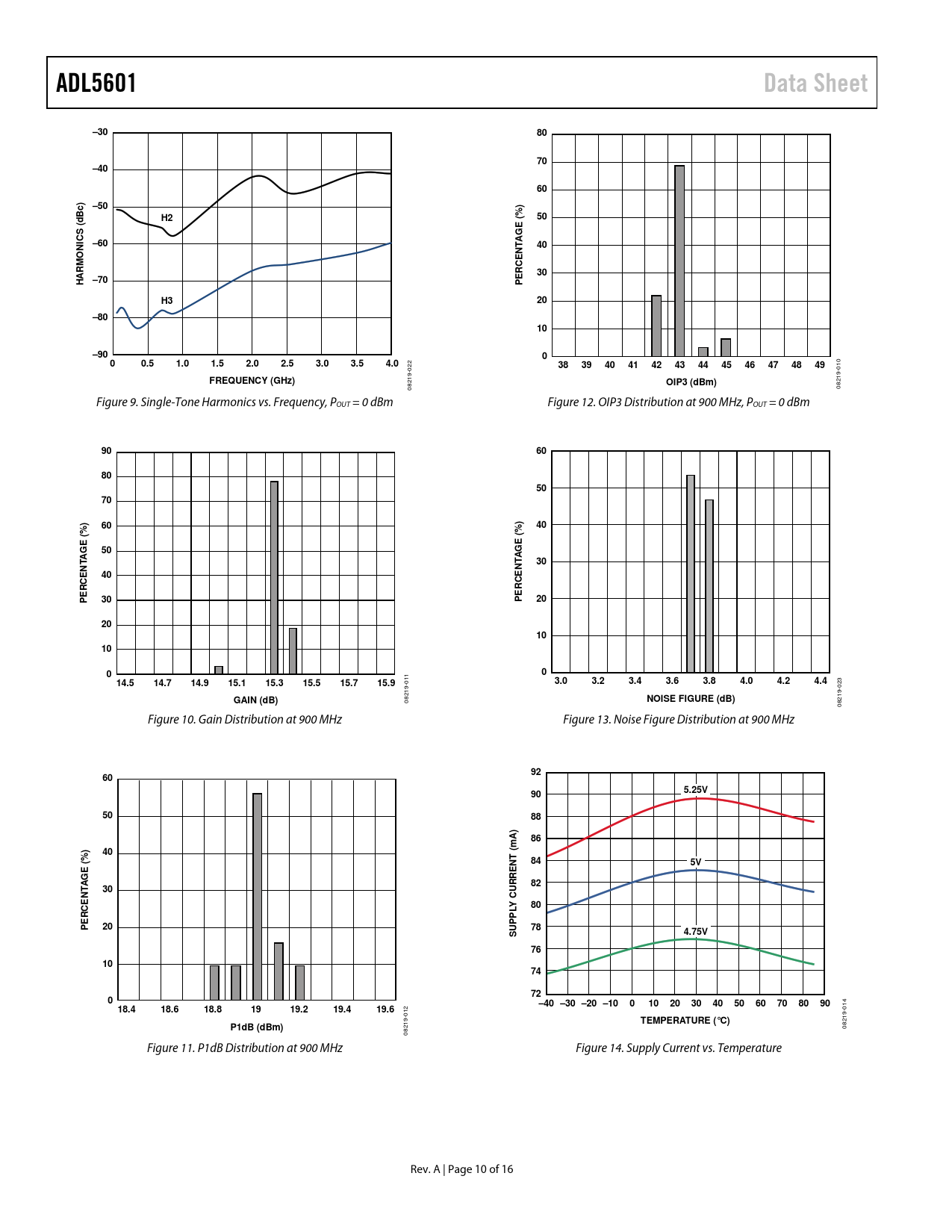
08219- 08219- Figure 9. Single-Tone Harmonics vs. Frequency, POUT = 0 dBm Figure 12. OIP3 Distribution at 900 MHz, POUT = 0 dBm
90 60 80 50 70 60 40 %) %) ( ( E E 50 AG AG T T 30 EN 40 EN C C PER 30 PER 20 20 10 10 0 0
1 1
14.5 14.7 14.9 15.1 15.3 15.5 15.7 15.9
0
3.0 3.2 3.4 3.6 3.8 4.0 4.2 4.4
023
GAIN (dB)
08219-
NOISE FIGURE (dB)
08219- Figure 10. Gain Distribution at 900 MHz Figure 13. Noise Figure Distribution at 900 MHz
92 60 90 5.25V 50 88 86 mA) 40 ( %) ( NT 84 5V E AG 82 T 30 EN CURRE C Y L 80 PP PER 20 78 SU 4.75V 76 10 74 72 0 –40 –30 –20 –10 0 10 20 30 40 50 60 70 80 90 18.4 18.6 18.8 19 19.2 19.4 19.6
014 012
TEMPERATURE (°C) P1dB (dBm)
08219- 08219- Figure 11. P1dB Distribution at 900 MHz Figure 14. Supply Current vs. Temperature Rev. A | Page 10 of 16 Document Outline Features Functional Block Diagram General Description Revision History Specifications Typical Scattering Parameters (S-Parameters) Absolute Maximum Ratings ESD Caution Pin Configuration and Function Descriptions Typical Performance Characteristics Basic Connections Soldering Information and Recommended PCB Land Pattern W-CDMA ACPR Performance Evaluation Board Outline Dimensions Ordering Guide