Datasheet AD8599-EP (Analog Devices) - 5
| 制造商 | Analog Devices |
| 描述 | Ultralow Distortion, Ultralow Noise Op Amp (Dual) |
| 页数 / 页 | 8 / 5 — Enhanced Product. AD8599-EP. TYPICAL PERFORMANCE CHARACTERISTICS. 250. … |
| 文件格式/大小 | PDF / 233 Kb |
| 文件语言 | 英语 |
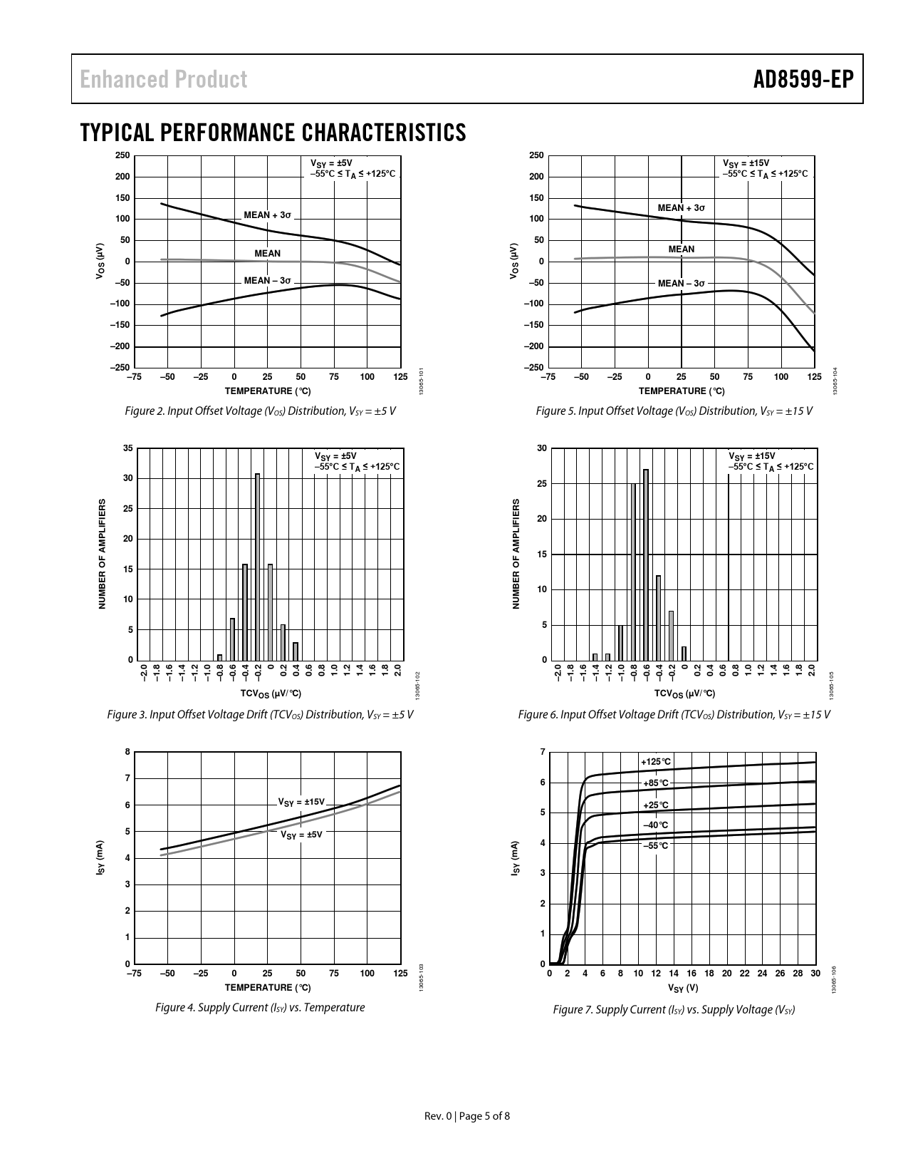
Enhanced Product. AD8599-EP. TYPICAL PERFORMANCE CHARACTERISTICS. 250. VSY = ±5V. VSY = ±15V. 200. –55°C ≤ TA ≤ +125°C. 150. MEAN + 3σ. 100

该数据表的模型线
文件文字版本
Enhanced Product AD8599-EP TYPICAL PERFORMANCE CHARACTERISTICS 250 250 VSY = ±5V VSY = ±15V 200 –55°C ≤ TA ≤ +125°C 200 –55°C ≤ TA ≤ +125°C 150 150 MEAN + 3σ 100 MEAN + 3σ 100 50 50 V) V) MEAN MEAN (µ 0 (µ 0 OS OS V V –50 MEAN – 3σ –50 MEAN – 3σ –100 –100 –150 –150 –200 –200 –250 –250 –75 –50 –25 0 25 50 75 100 125
101
–75 –50 –25 0 25 50 75 100 125
104
TEMPERATURE (°C)
13065-
TEMPERATURE (°C)
13065- Figure 2. Input Offset Voltage (VOS) Distribution, VSY = ±5 V Figure 5. Input Offset Voltage (VOS) Distribution, VSY = ±15 V
35 30 VSY = ±5V VSY = ±15V –55°C ≤ TA ≤ +125°C –55°C ≤ TA ≤ +125°C 30 25 RS 25 RS IE IE 20 IF IF L L P 20 P AM AM F 15 F 15 R O R O BE BE 10 10 NUM NUM 5 5 0 0 0 8 6 4 2 0 8 6 4 2 0 2 4 6 8 0 2 4 6 8 0 0 8 6 4 2 0 8 6 4 2 0 2 4 6 8 0 2 4 6 8 0 0. 0. 0. 0. 1. 1. 1. 1. 1. 2. 0. 0. 0. 0. 1. 1. 1. 1. 1. 2. –2. –1. –1. –1. –1. –1. –0. –0. –0. –0.
102
–2. –1. –1. –1. –1. –1. –0. –0. –0. –0.
105
TCVOS (µV/°C) TCV
13065-
OS (µV/°C)
13065- Figure 3. Input Offset Voltage Drift (TCVOS) Distribution, VSY = ±5 V Figure 6. Input Offset Voltage Drift (TCVOS) Distribution, VSY = ±15 V
8 7 +125°C 7 6 +85°C 6 VSY = ±15V +25°C 5 –40°C 5 VSY = ±5V 4 –55°C mA) 4 mA) ( ( I SY I SY 3 3 2 2 1 1 0 0 –75 –50 –25 0 25 50 75 100 125
103
0 2 4 6 8 10 12 14 16 18 20 22 24 26 28 30
106
TEMPERATURE (°C)
13065-
VSY (V)
13065- Figure 4. Supply Current (ISY) vs. Temperature Figure 7. Supply Current (ISY) vs. Supply Voltage (VSY) Rev. 0 | Page 5 of 8 Document Outline FEATURES ENHANCED PRODUCT FEATURES APPLICATIONS PIN CONFIGURATION GENERAL DESCRIPTION REVISION HISTORY SPECIFICATIONS ABSOLUTE MAXIMUM RATINGS THERMAL RESISTANCE POWER SEQUENCING ESD CAUTION TYPICAL PERFORMANCE CHARACTERISTICS OUTLINE DIMENSIONS ORDERING GUIDE