Datasheet ADXRS649 (Analog Devices) - 8
| 制造商 | Analog Devices |
| 描述 | Fast Starting, ±20,000°/sec Vibration Rejecting Rate Gyro |
| 页数 / 页 | 13 / 8 — Data Sheet. ADXRS649. 100. TION. 500. 900. 1300. 1700. 2100. 2.35 2.37 … |
| 修订版 | B |
| 文件格式/大小 | PDF / 347 Kb |
| 文件语言 | 英语 |
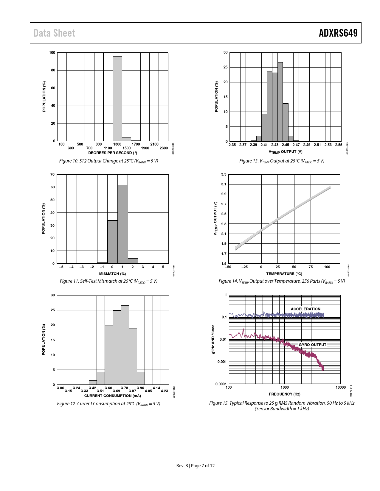
Data Sheet. ADXRS649. 100. TION. 500. 900. 1300. 1700. 2100. 2.35 2.37 2.39 2.41 2.43 2.45 2.47 2.49 2.51 2.53 2.55. 300. 700. 1100. 1500. 1900. 2300

该数据表的模型线
文件文字版本
Data Sheet ADXRS649 100 30 25 80 ) ) 20 % % ( 60 ( TION TION A A 15 L L PU 40 PU PO PO 10 20 5 0 0 100 500 900 1300 1700 2100
010
2.35 2.37 2.39 2.41 2.43 2.45 2.47 2.49 2.51 2.53 2.55
013
300 700 1100 1500 1900 2300 DEGREES PER SECOND (°) V
09573-
TEMP OUTPUT (V)
09573- Figure 10. ST2 Output Change at 25°C (VRATIO = 5 V) Figure 13. VTEMP Output at 25°C (VRATIO = 5 V)
70 3.3 3.1 60 2.9 50 ) 2.7 % (V) ( T 40 PU 2.5 TION T A U L O 30 2.3 P PU EM PO TV 2.1 20 1.9 10 1.7 70 0 1.5
1
–5 –4 –3 –2 –1 0 1 2 3 4 5
1 0
–50 –25 0 25 50 75 100
014
MISMATCH (%) TEMPERATURE (°C)
09573- 09573- Figure 11. Self-Test Mismatch at 25°C (VRATIO = 5 V) Figure 14. VTEMP Output over Temperature, 256 Parts (VRATIO = 5 V)
30 1 25 ACCELERATION 0.1 ) 20 % ( sec TION A 15 0.01 L AND %/ GYRO OUTPUT PU ²/Hz PO g 10 0.001 5 0 0.0001 3.06 3.24 3.42 3.60 3.78 3.96 4.14 100 1000 10000
015
3.15 3.33 3.51 3.69 3.87 4.05 4.23
012
CURRENT CONSUMPTION (mA) FREQUENCY (Hz)
09573- 09573- Figure 12. Current Consumption at 25°C (V Figure 15. Typical Response to 25 g RMS Random Vibration, 50 Hz to 5 kHz RATIO = 5 V) (Sensor Bandwidth = 1 kHz) Rev. B | Page 7 of 12 Document Outline Features Applications General Description Functional Block Diagram Revision History Specifications Absolute Maximum Ratings Rate Sensitive Axis ESD Caution Pin Configuration and Function Descriptions Typical Performance Characteristics Theory of Operation Setting the Bandwidth Temperature Output and Calibration Modifying the Measurement Range Null Bias Adjustment Self-Test Function Continuous Self-Test Outline Dimensions Ordering Guide