Datasheet ADXL103, ADXL203 (Analog Devices) - 9

制造商Analog Devices
描述Precision ±1.7 g, ±5 g, ±18 g Dual-Axis iMEMS® Accelerometer
页数 / 页16 / 9 — Data Sheet. ADXL103/ADXL203. AD22293. TION. PER. ZERO g. BIAS (V). % 20. …
修订版F
文件格式/大小PDF / 867 Kb
文件语言英语

Data Sheet. ADXL103/ADXL203. AD22293. TION. PER. ZERO g. BIAS (V). % 20. L 15. O 10. –1. –0. TEMPERATURE COEFFICIENT (mg. /°C). 287. 297. 307. 317. 327. 337

Data Sheet ADXL103/ADXL203 AD22293 TION PER ZERO g BIAS (V) % 20 L 15 O 10 –1 –0 TEMPERATURE COEFFICIENT (mg /°C) 287 297 307 317 327 337

该数据表的模型线

文件文字版本

Data Sheet ADXL103/ADXL203 AD22293 60 70 60 50 ) ) % % ( ( 50 40 TION TION A A L L 40 PU PU 30 PO PO F F 30 O O T T 20 EN EN C C 20 PER PER 10 10 0 0 43 44 45 46 47 48 49 50 51 52 53 54 55 56 57 43 44 45 46 47 48 49 50 51 52 53 54 55 56 57
19 1
2. 2. 2. 2. 2. 2. 2. 2. 2. 2. 2. 2. 2. 2. 2.
17 1
2. 2. 2. 2. 2. 2. 2. 2. 2. 2. 2. 2. 2. 2. 2. ZERO g BIAS (V) ZERO g BIAS (V)
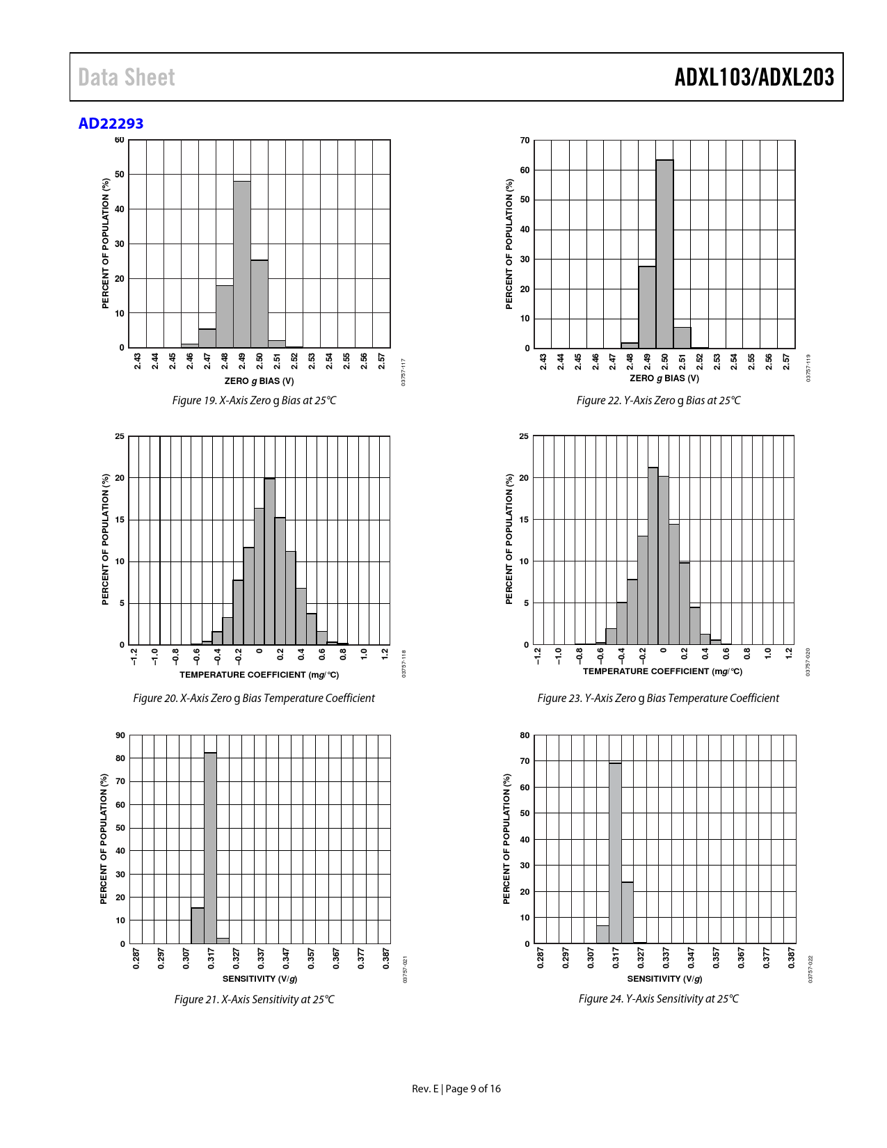
03757- 03757- Figure 19. X-Axis Zero g Bias at 25°C Figure 22. Y-Axis Zero g Bias at 25°C
25 25 ) ) % 20 % 20 ( ( TION TION A A L 15 L 15 PU PU PO PO F F O 10 O 10 T T EN EN C C PER 5 PER 5 0 0 2 0 8 6 4 2 0 2 4 6 8 0 2 2 0 8 6 4 2 0 2 4 6 8 0 2 0. 0. 0. 0. 1. 1.
18 1
0. 0. 0. 0. 1. 1.
020
–1. –1. –0. –0. –0. –0. –1. –1. –0. –0. –0. –0. TEMPERATURE COEFFICIENT (mg /°C) TEMPERATURE COEFFICIENT (mg /°C)
03757- 03757- Figure 20. X-Axis Zero g Bias Temperature Coefficient Figure 23. Y-Axis Zero g Bias Temperature Coefficient
90 80 80 70 ) ) % 70 % ( ( 60 TION 60 TION A A 50 L L PU 50 PU 40 PO PO F 40 F O O T T 30 EN 30 EN C C 20 20 PER PER 10 10 0 0 287 297 307 317 327 337 347 357 367 377 387 287 297 307 317 327 337 347 357 367 377 387 0. 0. 0. 0. 0. 0. 0. 0. 0. 0. 0.
021
0. 0. 0. 0. 0. 0. 0. 0. 0. 0. 0.
022
SENSITIVITY (V/g )
03757-
SENSITIVITY (V/g )
03757- Figure 21. X-Axis Sensitivity at 25°C Figure 24. Y-Axis Sensitivity at 25°C Rev. E | Page 9 of 16 Document Outline Features Applications General Description Functional Block Diagrams Revision History Specifications Absolute Maximum Ratings ESD Caution Pin Configurations and Function Descriptions Typical Performance Characteristics ADXL103 and ADXL203 AD22293 AD22035 and AD22037 All Models Theory of Operation Performance Applications Information Power Supply Decoupling Setting the Bandwidth Using CX and CY Self Test Design Trade-Offs for Selecting Filter Characteristics: The Noise/Bandwidth Trade-Off Using the ADXL103/ADXL203 with Operating Voltages Other than 5 V Using the ADXL203 as a Dual-Axis Tilt Sensor Dual-Axis Tilt Sensor: Converting Acceleration to Tilt Outline Dimensions Ordering Guide Automotive Products