Datasheet ADXL326 (Analog Devices) - 8
| 制造商 | Analog Devices |
| 描述 | Small, Low Power, 3-Axis ±16 g Accelerometer |
| 页数 / 页 | 17 / 8 — ADXL326. 1.53. N = 8. 1.52. % (. V 1.51. TIO. A L. U P. OU 1.50. 1.49. … |
| 文件格式/大小 | PDF / 281 Kb |
| 文件语言 | 英语 |
ADXL326. 1.53. N = 8. 1.52. % (. V 1.51. TIO. A L. U P. OU 1.50. 1.49. 1.48. –2.5 –2.0 –1.5 –1.0 –0.5 0. 0.5 1.0 1.5 2.0 2.5 3.0 3.5

该数据表的模型线
文件文字版本
ADXL326 65 1.53 N = 8 60 55 1.52 50 ) 45 % ( 40 ) N V 1.51 ( 35 T TIO U A L 30 TP U P 25 OU 1.50 PO 20 15 1.49 10 5 0 1.48 –2.5 –2.0 –1.5 –1.0 –0.5 0 0.5 1.0 1.5 2.0 2.5 3.0 3.5
11
–40 –30 –20 –10 0 10 20 30 40 50 60 70 80 90 100
14 0 0 8- 8-
TEMPERATURE COEFFICIENT (mg /°C)
94
TEMPERATURE (°C)
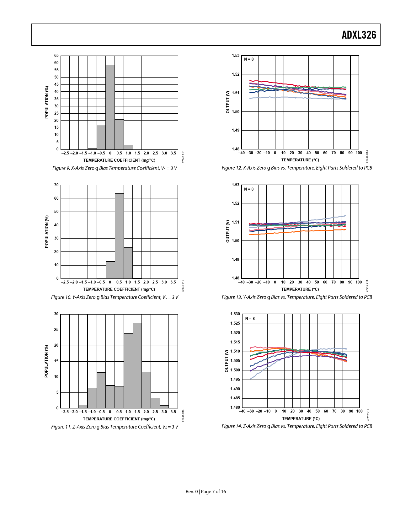
94 07 07 Figure 9. X-Axis Zero g Bias Temperature Coefficient, VS = 3 V Figure 12. X-Axis Zero g Bias vs. Temperature, Eight Parts Soldered to PCB
70 1.53 N = 8 60 1.52 50 ) % ( ) N V 1.51 40 ( T TIO U A L TP U 30 P OU 1.50 PO 20 1.49 10 0 1.48 –2.5 –2.0 –1.5 –1.0 –0.5 0 0.5 1.0 1.5 2.0 2.5 3.0 3.5
2
–40 –30 –20 –10 0 10 20 30 40 50 60 70 80 90 100
5 01 01 8- 8-
TEMPERATURE COEFFICIENT (mg /°C)
94
TEMPERATURE (°C)
94 07 07 Figure 10. Y-Axis Zero g Bias Temperature Coefficient, VS = 3 V Figure 13. Y-Axis Zero g Bias vs. Temperature, Eight Parts Soldered to PCB
30 1.530 N = 8 1.525 25 1.520 1.515 ) 20 % ( ) 1.510 N V O ( T TI 15 U 1.505 A L TP U P 1.500 OU PO 10 1.495 1.490 5 1.485 0 1.480 –2.5 –2.0 –1.5 –1.0 –0.5 0 0.5 1.0 1.5 2.0 2.5 3.0 3.5
3
–40 –30 –20 –10 0 10 20 30 40 50 60 70 80 90 100
6 01 01 8- 8-
TEMPERATURE COEFFICIENT (mg /°C)
94
TEMPERATURE (°C)
94 07 07 Figure 11. Z-Axis Zero g Bias Temperature Coefficient, VS = 3 V Figure 14. Z-Axis Zero g Bias vs. Temperature, Eight Parts Soldered to PCB Rev. 0 | Page 7 of 16 Document Outline FEATURES APPLICATIONS GENERAL DESCRIPTION FUNCTIONAL BLOCK DIAGRAM TABLE OF CONTENTS REVISION HISTORY SPECIFICATIONS ABSOLUTE MAXIMUM RATINGS ESD CAUTION PIN CONFIGURATION AND FUNCTION DESCRIPTIONS TYPICAL PERFORMANCE CHARACTERISTICS THEORY OF OPERATION MECHANICAL SENSOR PERFORMANCE APPLICATIONS INFORMATION POWER SUPPLY DECOUPLING SETTING THE BANDWIDTH USING CX, CY, AND CZ SELF TEST DESIGN TRADE-OFFS FOR SELECTING FILTER CHARACTERISTICS: THE NOISE/BW TRADE-OFF USE WITH OPERATING VOLTAGES OTHER THAN 3 V AXES OF ACCELERATION SENSITIVITY LAYOUT AND DESIGN RECOMMENDATIONS OUTLINE DIMENSIONS ORDERING GUIDE