Datasheet ADXL350 (Analog Devices) - 10
| 制造商 | Analog Devices |
| 描述 | 3-Axis ±1g/±2g/±4g/±8g Digital Accelerometer |
| 页数 / 页 | 37 / 10 — Data Sheet. ADXL350. –40°C TO +25°C +25°C TO +85°C. ( 60. TION. PER. 470. … |
| 文件格式/大小 | PDF / 603 Kb |
| 文件语言 | 英语 |
Data Sheet. ADXL350. –40°C TO +25°C +25°C TO +85°C. ( 60. TION. PER. 470. 475. 480. 485. 490. 495. 500. 505. 510. 515. 520. 525. 530. 535. 540. 545. 550. 010. 008. 006

该数据表的模型线
文件文字版本
Data Sheet ADXL350 60 80 –40°C TO +25°C +25°C TO +85°C ) ) % % ( ( 60 40 TION TION A A L L PU PU 40 PO PO F F O O T T 20 EN EN C C 20 PER PER 0 0 0 470 475 480 485 490 495 500 505 510 515 520 525 530 535 540 545 550
121
010 008 006 004 002 002 004 006 008 010 0. 0. 0. 0. 0.
124
SENSITIVITY (LSB/g ) –0. –0. –0. –0. –0.
10721-
SENSITIVITY TEMPERATURE COEFFICIENT (%/°C)
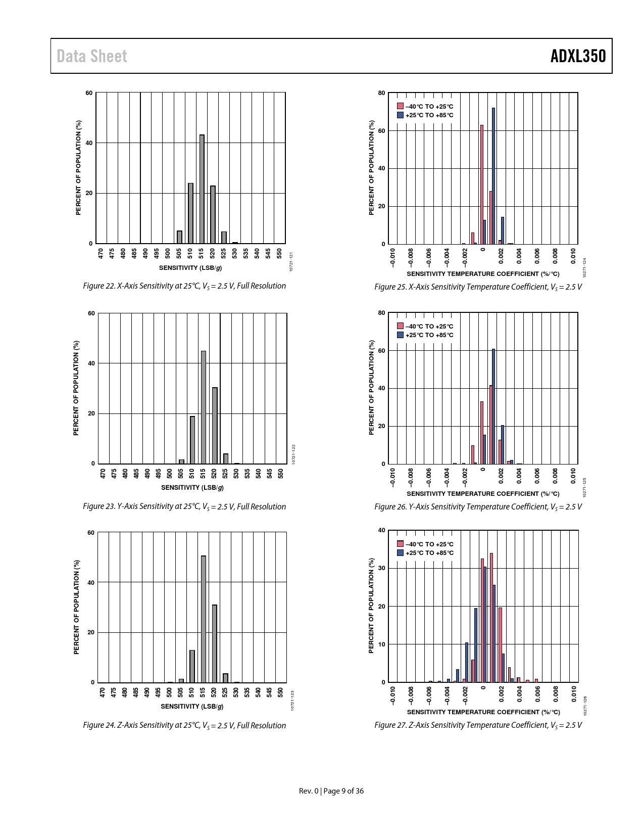
10271- Figure 22. X-Axis Sensitivity at 25°C, VS = 2.5 V, Full Resolution Figure 25. X-Axis Sensitivity Temperature Coefficient, VS = 2.5 V
60 80 –40°C TO +25°C +25°C TO +85°C ) ) % % ( ( 60 40 TION TION A A L L PU PU 40 PO PO F F O O T T 20 EN EN C C 20 PER PER
122
0
10721-
0 0 470 475 480 485 490 495 500 505 510 515 520 525 530 535 540 545 550 010 008 006 004 002 002 004 006 008 010 0. 0. 0. 0. 0.
125
SENSITIVITY (LSB/g ) –0. –0. –0. –0. –0. SENSITIVITY TEMPERATURE COEFFICIENT (%/°C)
10271- Figure 23. Y-Axis Sensitivity at 25°C, VS = 2.5 V, Full Resolution Figure 26. Y-Axis Sensitivity Temperature Coefficient, VS = 2.5 V
60 40 –40°C TO +25°C +25°C TO +85°C ) ) % % ( ( 30 40 TION TION A A L L PU PU 20 PO PO F F O O T T 20 EN EN C C 10 PER PER 0 0 0 470 475 480 485 490 495 500 505 510 515 520 525 530 535 540 545 550
123
010 008 006 004 002 002 004 006 008 010 0. 0. 0. 0. 0.
126
–0. –0. –0. –0. –0. SENSITIVITY (LSB/g )
10721-
SENSITIVITY TEMPERATURE COEFFICIENT (%/°C)
10271- Figure 24. Z-Axis Sensitivity at 25°C, V Figure 27. Z-Axis Sensitivity Temperature Coefficient, V S = 2.5 V, Full Resolution S = 2.5 V Rev. 0 | Page 9 of 36 Document Outline Features Applications General Description Functional Block Diagram Revision History Specifications Absolute Maximum Ratings Thermal Resistance Package Information ESD Caution Pin Configuration and Function Descriptions Typical Performance Characteristics Theory of Operation Power Sequencing Power Savings Power Modes Auto Sleep Mode Standby Mode Serial Communications SPI Preventing Bus Traffic Errors I2C Interrupts DATA_READY SINGLE_TAP DOUBLE_TAP Activity Inactivity FREE_FALL Watermark Overrun FIFO Bypass Mode FIFO Mode Stream Mode Trigger Mode Retrieving Data from FIFO Self-Test Register Map Register Definitions Register 0x00—DEVID (Read Only) Register 0x1D—THRESH_TAP (Read/Write) Register 0x1E, Register 0x1F, Register 0x20—OFSX, OFSY, OFSZ (Read/Write) Register 0x21—DUR (Read/Write) Register 0x22—Latent (Read/Write) Register 0x23—Window (Read/Write) Register 0x24—THRESH_ACT (Read/Write) Register 0x25—THRESH_INACT (Read/Write) Register 0x26—TIME_INACT (Read/Write) Register 0x27—ACT_INACT_CTL (Read/Write) ACT AC/DC and INACT AC/DC Bits ACT_x Enable Bits and INACT_x Enable Bits Register 0x28—THRESH_FF (Read/Write) Register 0x29—TIME_FF (Read/Write) Register 0x2A—TAP_AXES (Read/Write) Suppress Bit TAP_x Enable Bits Register 0x2B—ACT_TAP_STATUS (Read Only) ACT_x Source and TAP_x Source Bits Asleep Bit Register 0x2C—BW_RATE (Read/Write) LOW_POWER Bit Rate Bits Register 0x2D—POWER_CTL (Read/Write) Link Bit AUTO_SLEEP Bit Measure Bit Sleep Bit Wakeup Bits Register 0x2E—INT_ENABLE (Read/Write) Register 0x2F—INT_MAP (Read/Write) Register 0x30—INT_SOURCE (Read Only) Register 0x31—DATA_FORMAT (Read/Write) SELF_TEST Bit SPI Bit INT_INVERT Bit FULL_RES Bit Justify Bit Range Bits Register 0x32 to Register 0x37—DATAX0, DATAX1, DATAY0, DATAY1, DATAZ0, DATAZ1 (Read Only) Register 0x38—FIFO_CTL (Read/Write) FIFO_MODE Bits Trigger Bit Samples Bits 0x39—FIFO_STATUS (Read Only) FIFO_TRIG Bit Entries Bits Applications Information Power Supply Decoupling Mechanical Considerations for Mounting Tap Detection Threshold Link Mode Sleep Mode vs. Low Power Mode Offset Calibration Using Self-Test Axes of Acceleration Sensitivity Layout and Design Recommendations Outline Dimensions Ordering Guide