Datasheet OP191, OP291, OP491 (Analog Devices) - 9

制造商Analog Devices
描述Micropower Single-Supply Rail-to-Rail Input/Output Op Amps
页数 / 页24 / 9 — OP191/OP291/OP491. 3.00. +VO @ RL = 100kΩ. VS = 3V. TA = 25°C. 2.95. B d. …
修订版E
文件格式/大小PDF / 569 Kb
文件语言英语

OP191/OP291/OP491. 3.00. +VO @ RL = 100kΩ. VS = 3V. TA = 25°C. 2.95. B d. 2.90. G A. O @ RL = 2kΩ. OOP. 2.85. –10. T V. –20. 2.80. –30. –40. S = 3V. 2.75. –50

OP191/OP291/OP491 3.00 +VO @ RL = 100kΩ VS = 3V TA = 25°C 2.95 B d 2.90 G A O @ RL = 2kΩ OOP 2.85 –10 T V –20 2.80 –30 –40 S = 3V 2.75 –50

该数据表的模型线

文件文字版本

OP191/OP291/OP491 3.00 50 +VO @ RL = 100kΩ 40 VS = 3V TA = 25°C ) 30 V 2.95 ( ) G B d 20 IN ( W IN S 2.90 10 E GA G A +V 0 O @ RL = 2kΩ LT OOP O -L 2.85 D –10 T V E U OS –20 TP L U C O 2.80 –30
8 1
–40
01
V
02 4-
S = 3V
4- 29 29
2.75
00
–50
00
–40 25 85 125 10 100 1k 10k 100k 1M 10M TEMPERATURE (°C) FREQUENCY (Hz)
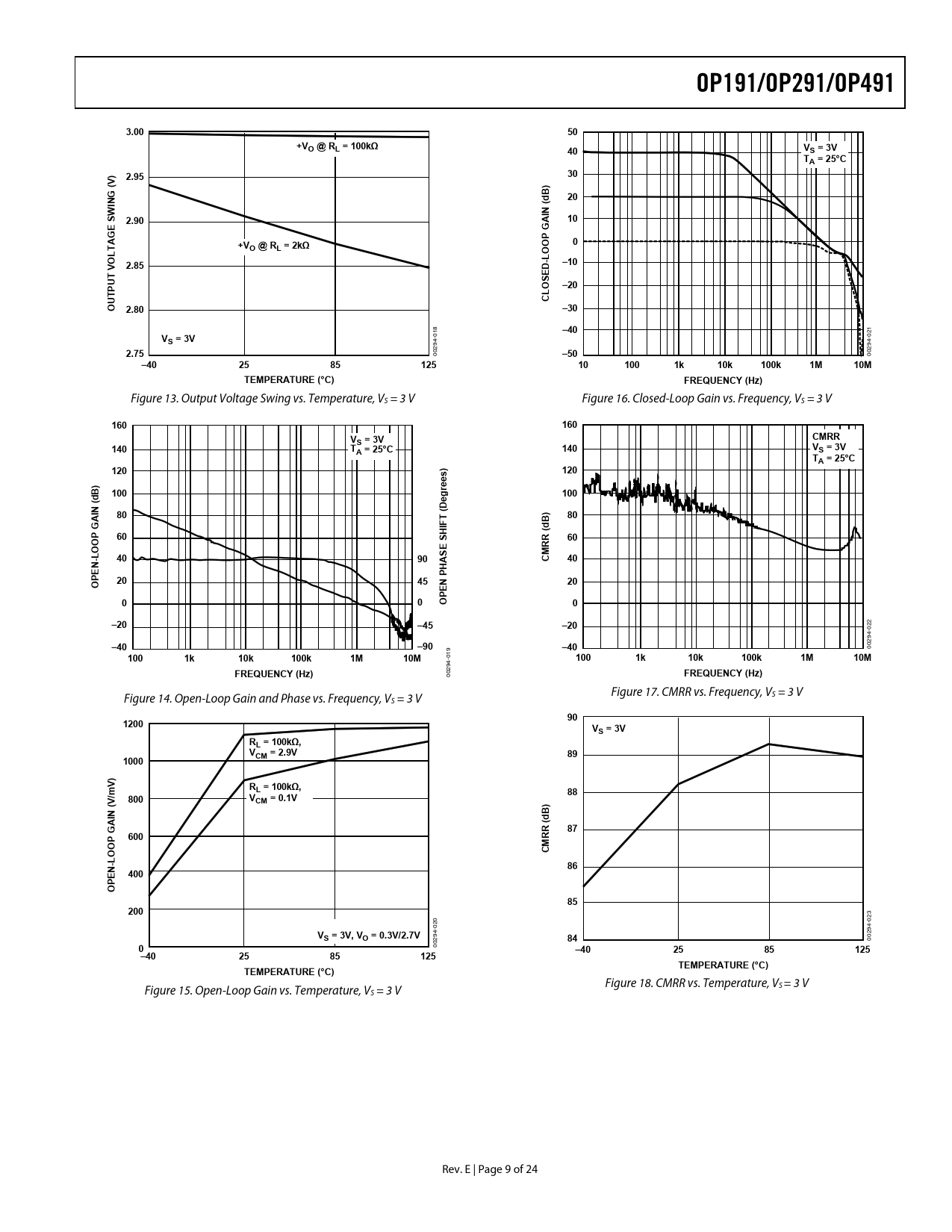
Figure 13. Output Voltage Swing vs. Temperature, VS = 3 V Figure 16. Closed-Loop Gain vs. Frequency, VS = 3 V
160 160 V CMRR S = 3V 140 T V A = 25°C 140 S = 3V TA = 25°C 120 120 B) 100 d 100 egrees) D 80 B) 80 IFT ( d 60 60 RR ( OOP GAIN ( L 40 SE SH 90 A CM 40 PH 20 45 OPEN- 20 0 0 OPEN 0 –20 –45
2
–20
02 4- 29
–40 –90
00
–40 100 1k 10k 100k 1M 10M 100 1k 10k 100k 1M 10M FREQUENCY (Hz)
00294-019
FREQUENCY (Hz)
Figure 17. CMRR vs. Frequency, V Figure 14. Open-Loop Gain and Phase vs. Frequency, V S = 3 V S = 3 V
90 1200 VS = 3V RL = 100kΩ, VCM = 2.9V 89 1000 ) V R /m L = 100kΩ, 88 V 800 VCM = 0.1V ( ) B IN d GA 87 600 RR ( OOP CM -L N 86 E 400 OP 85 200
3 0 -02 -02 94
V
94
S = 3V, VO = 0.3V/2.7V 84
002 002
0 –40 25 85 125 –40 25 85 125 TEMPERATURE (°C) TEMPERATURE (°C)
Figure 18. CMRR vs. Temperature, V Figure 15. Open-Loop Gain vs. Temperature, V S = 3 V S = 3 V Rev. E | Page 9 of 24 Document Outline FEATURES APPLICATIONS GENERAL DESCRIPTION PIN CONFIGURATIONS TABLE OF CONTENTS REVISION HISTORY SPECIFICATIONS ELECTRICAL SPECIFICATIONS ABSOLUTE MAXIMUM RATINGS THERMAL RESISTANCE ESD CAUTION TYPICAL PERFORMANCE CHARACTERISTICS THEORY OF OPERATION INPUT OVERVOLTAGE PROTECTION OUTPUT VOLTAGE PHASE REVERSAL OVERDRIVE RECOVERY APPLICATIONS INFORMATION SINGLE 3 V SUPPLY, INSTRUMENTATION AMPLIFIER SINGLE-SUPPLY RTD AMPLIFIER A 2.5 V REFERENCE FROM A 3 V SUPPLY 5 V ONLY, 12-BIT DAC SWINGS RAIL-TO-RAIL A HIGH-SIDE CURRENT MONITOR A 3 V, COLD JUNCTION COMPENSATED THERMOCOUPLE AMPLIFIER SINGLE-SUPPLY, DIRECT ACCESS ARRANGEMENT FOR MODEMS 3 V, 50 HZ/60 HZ ACTIVE NOTCH FILTER WITH FALSE GROUND SINGLE-SUPPLY, HALF-WAVE, AND FULL-WAVE RECTIFIERS OUTLINE DIMENSIONS ORDERING GUIDE