Datasheet OP193, OP293 (Analog Devices) - 10

制造商Analog Devices
描述Precision, Micropower Operational Amplifiers
页数 / 页20 / 10 — OP193/OP293. Data Sheet. 120. TA = 25°C. 100. A) –0.05. n (. S = ±15V. …
修订版D
文件格式/大小PDF / 411 Kb
文件语言英语

OP193/OP293. Data Sheet. 120. TA = 25°C. 100. A) –0.05. n (. S = ±15V. –0.10. VS = +2V. CURRE. VCM = 0.1V. RR (. T E S. VS = +5V. F F –0.15. O UT

OP193/OP293 Data Sheet 120 TA = 25°C 100 A) –0.05 n ( S = ±15V –0.10 VS = +2V CURRE VCM = 0.1V RR ( T E S VS = +5V F F –0.15 O UT

该数据表的模型线

文件文字版本

OP193/OP293 Data Sheet 120 0 TA = 25°C 100 A) –0.05 n ( 80 V NT S = ±15V B) –0.10 d VS = +2V 60 CURRE VCM = 0.1V RR ( T E S CM VS = +5V F F –0.15 40 O UT INP –0.20 V 20 S = ±15V 0 –0.25 10 100 1k 10k
009
–50 –25 0 25 50 75 100 125
012
FREQUENCY (Hz) TEMPERATURE (°C)
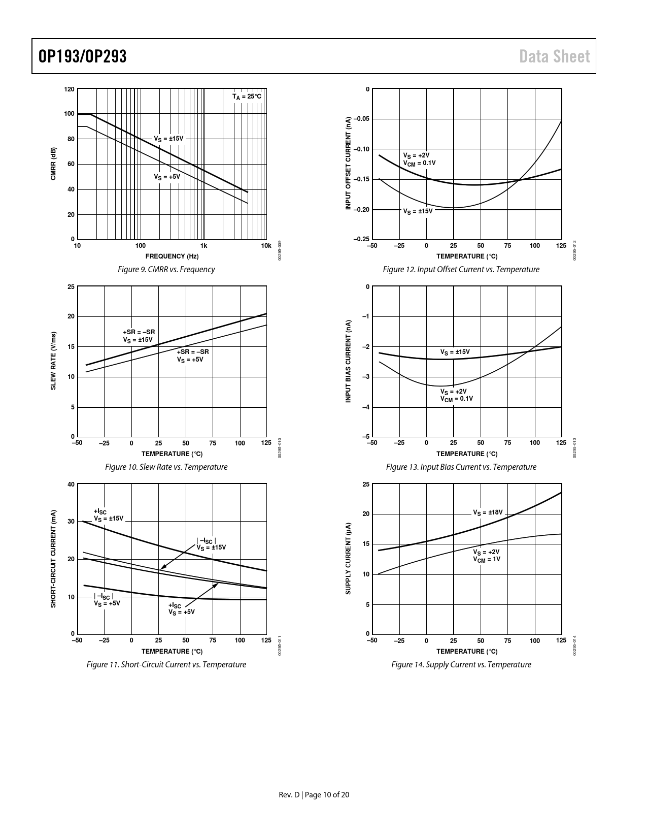
00295- 00295- Figure 9. CMRR vs. Frequency Figure 12. Input Offset Current vs. Temperature
25 0 20 –1 A) n ) +SR = –SR ( s m VS = ±15V NT 15 –2 V E (V/ +SR = –SR S = ±15V T V A S = +5V CURRE R AS 10 –3 EW BI SL UT VS = +2V INP VCM = 0.1V 5 –4 0 –5 –50 –25 0 25 50 75 100 125
010
–50 –25 0 25 50 75 100 125
013
TEMPERATURE (°C) TEMPERATURE (°C)
00295- 00295- Figure 10. Slew Rate vs. Temperature Figure 13. Input Bias Current vs. Temperature
40 25 +ISC 20 VS = ±18V mA) VS = ±15V ( 30 NT (μA) | –ISC | NT 15 VS = ±15V V CURRE S = +2V T 20 VCM = 1V RCUI 10 PLY CURRE -CI RT SUP 10 | –ISC | HO S VS = +5V +ISC 5 VS = +5V 0 0 –50 –25 0 25 50 75 100 125
011
–50 –25 0 25 50 75 100 125
014
TEMPERATURE (°C) TEMPERATURE (°C)
00295- 00295- Figure 11. Short-Circuit Current vs. Temperature Figure 14. Supply Current vs. Temperature Rev. D | Page 10 of 20 Document Outline FEATURES APPLICATIONS GENERAL DESCRIPTION PIN CONFIGURATIONS TABLE OF CONTENTS REVISION HISTORY SPECIFICATIONS ELECTRICAL SPECIFICATIONS ABSOLUTE MAXIMUM RATINGS THERMAL RESISTANCE ESD CAUTION TYPICAL PERFORMANCE CHARACTERISTICS FUNCTIONAL DESCRIPTION DRIVING CAPACITIVE LOADS INPUT OVERVOLTAGE PROTECTION OUTPUT PHASE REVERSAL—OP193 OUTPUT PHASE REVERSAL—OP293 BATTERY-POWERED APPLICATIONS A MICROPOWER FALSE-GROUND GENERATOR A BATTERY-POWERED VOLTAGE REFERENCE A SINGLE-SUPPLY CURRENT MONITOR A SINGLE-SUPPLY INSTRUMENTATION AMPLIFIER A LOW POWER, TEMPERATURE TO 4 mA TO 20 mA TRANSMITTER A MICROPOWER VOLTAGE CONTROLLED OSCILLATOR OUTLINE DIMENSIONS ORDERING GUIDE