Datasheet AD8613, AD8617, AD8619 (Analog Devices) - 7

制造商Analog Devices
描述Low Cost Micropower, Low Noise CMOS Rail-to-Rail, Input/Output Operational Amplifiers
页数 / 页16 / 7 — Data Sheet. AD8613/AD8617/AD8619. 135. VSY = 5V. A = 25ºC. ( IL 100. VSY …
修订版H
文件格式/大小PDF / 291 Kb
文件语言英语

Data Sheet. AD8613/AD8617/AD8619. 135. VSY = 5V. A = 25ºC. ( IL 100. VSY – VOH. ) B. LY P. SOURCE. rees) eg. O S. D (. -L N. LTA. SINK. O V. 0.1. –10

Data Sheet AD8613/AD8617/AD8619 135 VSY = 5V A = 25ºC ( IL 100 VSY – VOH ) B LY P SOURCE rees) eg O S D ( -L N LTA SINK O V 0.1 –10

该数据表的模型线

文件文字版本

Data Sheet AD8613/AD8617/AD8619 1k 60 135 VSY = 5V ) T V A = 25ºC m 50 ( IL 100 A VSY – VOH 40 90 R ) B LY P SOURCE (d P IN 30 U 10 rees) eg O S GA T P 20 45 D ( E OO E ΦM G 1 -L N AS 10 H LTA SINK E P O V OP T V 0 0 U OL P 0.1 T V –10 SY = ±2.5V AND ±0.9V
09
OU R
-0
L = 100kΩ
22
CL = 20pF 0.01
056
–20 –45 0.001 0.01 0.1 1 10 1k 10k 100k 1M
-012 622
LOAD CURRENT (mA)
05
FREQUENCY (Hz)
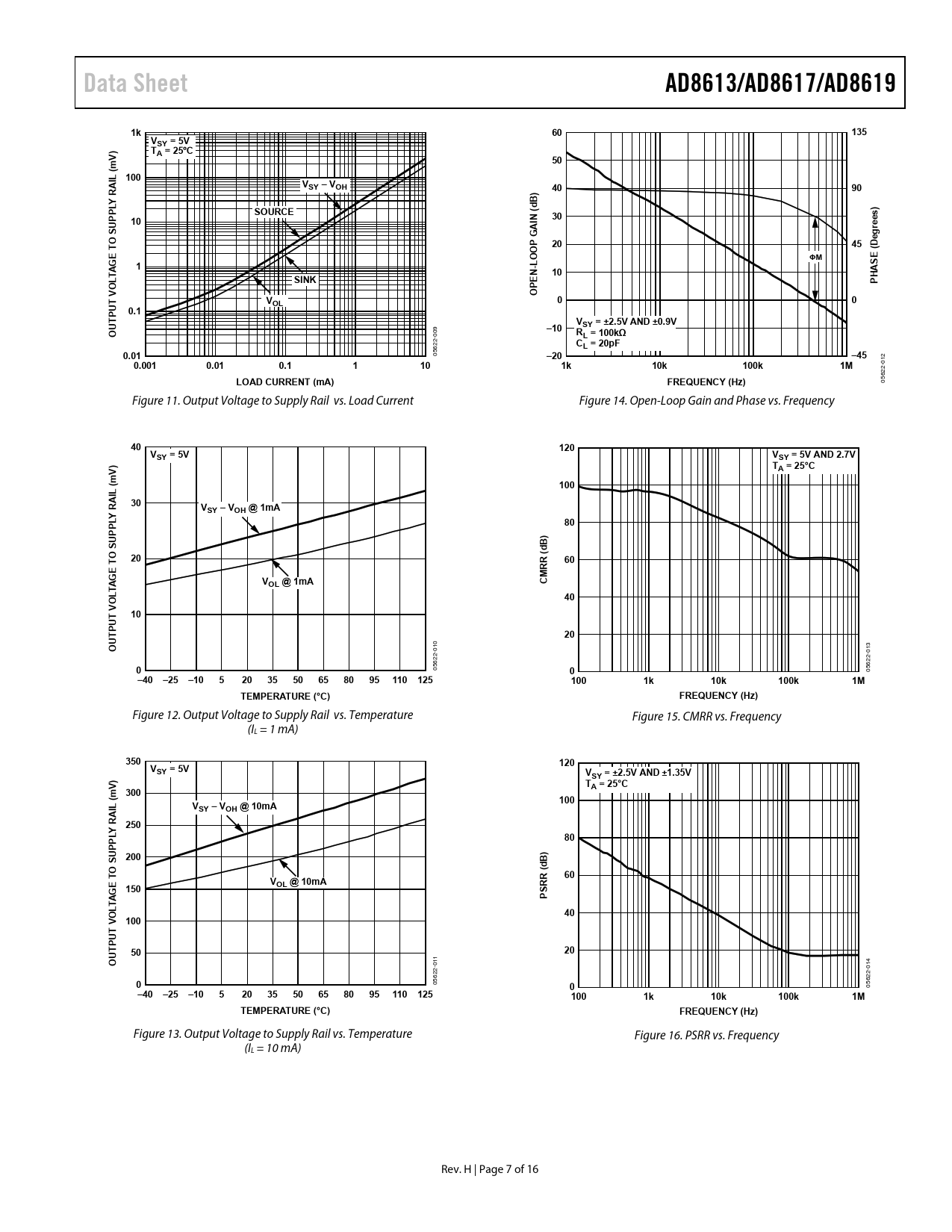
Figure 11. Output Voltage to Supply Rail vs. Load Current Figure 14. Open-Loop Gain and Phase vs. Frequency
40 120 VSY = 5V VSY = 5V AND 2.7V ) T V A = 25°C m ( 100 IL A 30 R VSY – VOH @ 1mA LY P 80 P U O S T 20 60 E G VOL @ 1mA CMRR (dB) LTA O 40 V T 10 U P T 20
10
OU
-0 22
0
056
0
05622-013
–40 –25 –10 5 20 35 50 65 80 95 110 125 100 1k 10k 100k 1M TEMPERATURE (°C) FREQUENCY (Hz)
Figure 12. Output Voltage to Supply Rail vs. Temperature Figure 15. CMRR vs. Frequency (IL = 1 mA)
350 120 VSY = 5V VSY = ±2.5V AND ±1.35V TA = 25°C 300 (mV) L 100 VSY – VOH @ 10mA RAI Y 250 80 200 SUPPL O T 60 E VOL @ 10mA RR (dB) 150 S P LTAG 40 VO 100 UT P T 20 U 50
1 1
O
-0 622
0
05
0
05622-014
–40 –25 –10 5 20 35 50 65 80 95 110 125 100 1k 10k 100k 1M TEMPERATURE (°C) FREQUENCY (Hz)
Figure 13. Output Voltage to Supply Rail vs. Temperature Figure 16. PSRR vs. Frequency (IL = 10 mA) Rev. H | Page 7 of 16 Document Outline FEATURES APPLICATIONS GENERAL DESCRIPTION PIN CONFIGURATIONS TABLE OF CONTENTS REVISION HISTORY SPECIFICATIONS ABSOLUTE MAXIMUM RATINGS THERMAL RESISTANCE ESD CAUTION TYPICAL PERFORMANCE CHARACTERISTICS OUTLINE DIMENSIONS ORDERING GUIDE AUTOMOTIVE PRODUCTS