Datasheet ADA4075-2 (Analog Devices) - 10
| 制造商 | Analog Devices |
| 描述 | Ultralow Noise Amplifier at Lower Power |
| 页数 / 页 | 25 / 10 — Data Sheet. ADA4075-2. 140. VSY = ±15V. VSY = ±5V. 120. 100. PHASE. GAIN. … |
| 修订版 | C |
| 文件格式/大小 | PDF / 1.2 Mb |
| 文件语言 | 英语 |
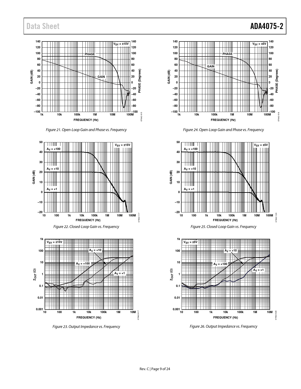
Data Sheet. ADA4075-2. 140. VSY = ±15V. VSY = ±5V. 120. 100. PHASE. GAIN. rees). N (. Deg. –20. HAS. –40. –60. –80. –100. 10k. 100k. 10M. 100M. FREQUENCY (Hz)

文件文字版本
Data Sheet ADA4075-2 140 140 140 140 VSY = ±15V VSY = ±5V 120 120 120 120 100 100 PHASE 100 100 PHASE 80 80 80 80 60 60 60 60 GAIN 40 40 B) 40 40 B) d rees) d rees) 20 GAIN 20 N ( 20 20 N ( AI Deg AI Deg G 0 0 ( G 0 0 ( E E –20 –20 –20 –20 HAS HAS P P –40 –40 –40 –40 –60 –60 –60 –60 –80 –80 –80 –80 –100 –100 –100 –100 1k 10k 100k 1M 10M 100M
015
1k 10k 100k 1M 10M 100M
018
FREQUENCY (Hz) FREQUENCY (Hz)
07642- 07642- Figure 21. Open-Loop Gain and Phase vs. Frequency Figure 24. Open-Loop Gain and Phase vs. Frequency
50 50 VSY = ±15V VSY = ±5V AV = +100 AV = +100 40 40 30 30 AV = +10 AV = +10 B) 20 B) 20 d d N ( N ( AI 10 AI G 10 G AV = +1 AV = +1 0 0 –10 –10 –20 –20
117
10 100 1k 10k 100k 1M 10M 100M
120
10 100 1k 10k 100k 1M 10M 100M FREQUENCY (Hz) FREQUENCY (Hz)
07642- 07642- Figure 22. Closed-Loop Gain vs. Frequency Figure 25. Closed-Loop Gain vs. Frequency
1k 1k VSY = ±15V VSY = ±5V 100 AV = +10 100 AV = +10 10 A 10 V = +100 AV = +100 (Ω) A (Ω) AV = +1 1 V = +1 1 UT UT O O Z Z 0.1 0.1 0.01 0.01 0.001 0.001 10 100 1k 10k 100k 1M 10M
017
10 100 1k 10k 100k 1M 10M
020
FREQUENCY (Hz) FREQUENCY (Hz)
07642- 07642- Figure 23. Output Impedance vs. Frequency Figure 26. Output Impedance vs. Frequency Rev. C | Page 9 of 24 Document Outline Features Applications Pin Configurations General Description Table of Contents Revision History Specifications Absolute Maximum Ratings Thermal Resistance Power Sequencing ESD Caution Typical Performance Characteristics Applications Information Input Protection Total Harmonic Distortion Phase Reversal DAC Output Filter Balanced Line Driver Balanced Line Receiver Low Noise Parametric Equalizer Schematic Outline Dimensions Ordering Guide