Datasheet IGB03N120H2 (Infineon) - 6

制造商Infineon
描述HighSpeed 2-Technology for 1200V in PG-TO263-3-2 Package
页数 / 页12 / 6 — Figure 9. Typical switching times as a. Figure 10. Typical switching …
文件格式/大小PDF / 1.2 Mb
文件语言英语

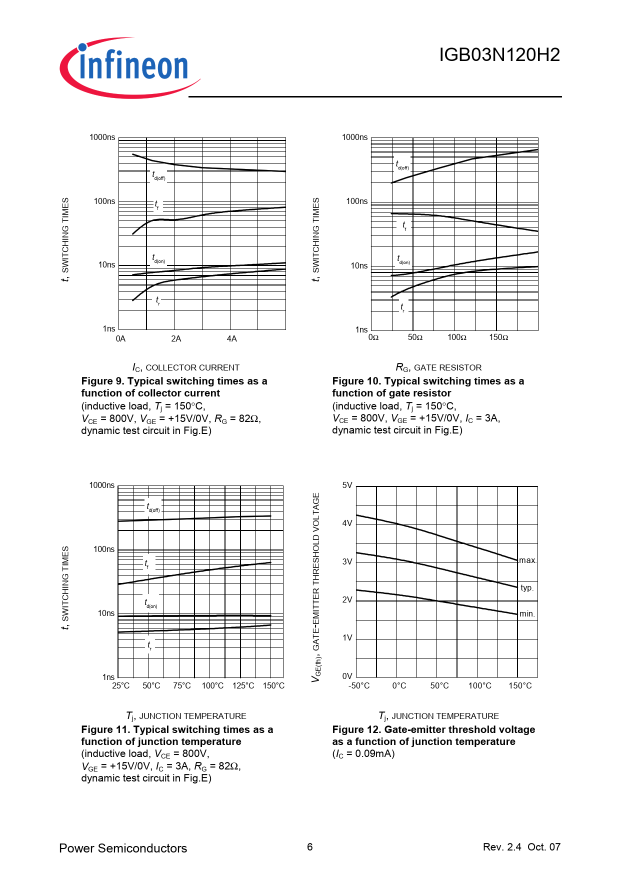
Figure 9. Typical switching times as a. Figure 10. Typical switching times as a. function of collector current

Figure 9 Typical switching times as a Figure 10 Typical switching times as a function of collector current

该数据表的模型线

文件文字版本

IGB03N120H2 1000ns 1000ns td(off) td(off) S 100ns t S 100ns ME f ME TI TI G G tf IN IN H H ITC t ITC t 10ns d(on) 10ns d(on) t, SW t, SW tr tr 1ns 1ns 0A 2A 4A 0Ω 50Ω 100Ω 150Ω IC, COLLECTOR CURRENT RG, GATE RESISTOR
Figure 9. Typical switching times as a Figure 10. Typical switching times as a function of collector current function of gate resistor
(inductive load, Tj = 150°C, (inductive load, Tj = 150°C, VCE = 800V, VGE = +15V/0V, RG = 82Ω, VCE = 800V, VGE = +15V/0V, IC = 3A, dynamic test circuit in Fig.E) dynamic test circuit in Fig.E) 1000ns 5V E t G A d(off) LT O 4V S 100ns E IM t SHOLD V max. E 3V T f R H NG R T typ. CHI E 2V IT t T d(on) W 10ns IT M min. t, S -E TE 1V tr , GA 1ns V GE(th) 0V 25°C 50°C 75°C 100°C 125°C 150°C -50°C 0°C 50°C 100°C 150°C Tj, JUNCTION TEMPERATURE Tj, JUNCTION TEMPERATURE
Figure 11. Typical switching times as a Figure 12. Gate-emitter threshold voltage function of junction temperature as a function of junction temperature
(inductive load, VCE = 800V, (IC = 0.09mA) VGE = +15V/0V, IC = 3A, RG = 82Ω, dynamic test circuit in Fig.E) Power Semiconductors 6 Rev. 2.4 Oct. 07